Como as listas passaram a ser publicas apenas vou colocar o link para as mesmas e depois retiro-as para tratamento de dados.
Setembro 2012 archive
Link permanente para este artigo: https://www.arlindovsky.net/2012/09/reserva-de-recrutamento-1-a-partir-das-9-horas-do-dia-13/
Set 12 2012
Opiniões – E.Taransky
Tenho acompanhado todo este processo de contratação de Professores pelas escolas, e, apesar de não pertencer à classe sou solidário com os Professores.
Nunca pensei que a contratação de Professores originasse tão belos festivais e romarias como foram as convocatórias para essas perversas Entrevistas ou pretensas Avaliações Curriculares.
A este festival de degradação, humilhação humana e profissional, acrescentam-se os ridículos subcritérios exigidos por algumas dessas escolas, os quais parecem para uma seleção de Astronautas ou Tratadores de Espécies Raras.
Admiro a coragem desses Directores ao sujeitarem os seus colegas de profissão a tão incrível cenário. Realmente ultrapassar uma Lista de Candidatos ,em muitos casos, às centenas não é para qualquer um. Até parece que nessas centenas ninguém reúne os subcritérios.
Por enquanto, por muito pouco que pareça, este ainda não é um país sem Leis e os Directores não são omnipotentes Deuses que fazem o que lhes apetece com os meros mortais Professores Contratados.
Nos últimos dias assistimos ao Fantástico Mundo das Contratações de Professores para escolas TEIP acho extremamente « digno » que os professores intervenientes nesse dito processo de Selecção sejam cúmplices nessa situação. Será que o suposto Júri tem competências (e os subcritérios exigidos) para avaliar os candidatos com tantos anos de serviço?
Relembro que existem Leis que estipulam detalhadamente o Procedimentos Concursais para Administração Pública, os professores até são funcionários públicos…
E….só por acaso…ainda há Código Penal em Portugal, as Escolas deviam ler o CAPÍTULO IV – Dos crimes cometidos no exercício de funções públicas SECÇÃO I Da corrupção ….(Corrupção Activa,Passiva, etc) que não serve só para algumas classes…sociais… Há ainda Abuso de Poder, etc…
Com a quantidade de testemunhas que estiveram nessas feiras e um número de Lesados tão grande admira-me ainda não terem processado essas escolas, após, claro, aborrecerem o MEC ou a IGEC com um inferno de reclamações por escrito.
Realmente fazem falta Inspecções nessas Escolas…..
Junto em anexo cópia de um artigo ou outro do Código Penal ….para admirarem (para quem não conheça).
Link permanente para este artigo: https://www.arlindovsky.net/2012/09/opinioes-e-taransky/
Link permanente para este artigo: https://www.arlindovsky.net/2012/09/horarios-em-concurso-12-setembro/
Set 12 2012
Lista de Colocações (AÇORES)
Link permanente para este artigo: https://www.arlindovsky.net/2012/09/lista-de-colocacoes-acores/
Link permanente para este artigo: https://www.arlindovsky.net/2012/09/colocados-na-contratacao-inicial/
Link permanente para este artigo: https://www.arlindovsky.net/2012/09/colocados-em-renovacao-de-colocacao/
Link permanente para este artigo: https://www.arlindovsky.net/2012/09/colocados-em-mobilidade-interna/
Set 12 2012
Mais Uma Preocupação
… que em princípio não afetará os professores visto que para o ano letivo 2013/2014 não será legalmente possível a renovação de contratos por ser ano 0 do concurso nacional.
Ou será que a não renovação de contratos que terminem em 2013 também pode querer dizer que haverá mesmo uma vinculação extraodinária antes de 2013? É que por diversas vezes se ouviu falar numa vinculação até final do ano de 2012.
Hummmm…
Governo não renova contratos a prazo que acabem em 2013
O Governo quer reduzir os encargos com a Função Pública. Os contratados a prazo são o próximo alvo.
O Governo quer reduzir o número de funcionários públicos e o próximo alvo são os trabalhadores contratados a prazo. O Diário Económico sabe que os contratos que terminem em 2013 já não deverão serão renovados.
Além do congelamento das admissões para o Estado e da gestão das saídas por aposentação, o Governo vai “dar especial atenção aos trabalhadores contratados a prazo e a havendo um esforço de redução a fazer será nesta área“, disse ontem o secretário de Estado da Administração Pública, Hélder Rosalino.
As estatísticas públicas indicam que, no final de Março, existiam 88.014 contratados a prazo na administração directa e indirecta do Estado, incluindo nas Entidades Públicas Empresariais (EPE). É no Ministério da Educação e Ciência que está a maior fatia de contratados. No primeiro trimestre, só no ministério de Nuno Crato, havia 53.632 contratados a prazo.
A intenção de não renovar os contratos a prazo já tinha sido avançada pelo Ministério da Educação e Ensino Superior. A propósito da colocação de professores contratados para o próximo ano lectivo Nuno Crato disse que “a escola pública está a precisar de menos professores este ano, vai precisar ainda menos para o ano que vem“.
Link permanente para este artigo: https://www.arlindovsky.net/2012/09/mais-uma-preocupacao/
Set 12 2012
Sondagem – Organização dos Tempos Letivos
É quase certo que a maioria das escolas optaram pela organização dos tempos letivos em períodos de 45 minutos. Em muitos casos essa decisão foi feita tendo em conta a facilidade dessa distribuição pelos exemplos da Matriz Curricular que previa essa organização em períodos de 45 minutos, deixando a liberdade de as escolas utilizarem outras formas de organização, mas não dando exemplos em concreto.
Como os 24 tempos de 45 minutos apenas dão 1080 minutos, gostava de saber o que fizeram aos 20 minutos que faltam para completar os 1100 minutos da componente letiva. Será interessante ver as diferentes soluções encontradas pelas escolas.
Esta sondagem está destinada apenas às escolas públicas, porque parece que as escolas particulares resolveram a questão das horas letivas de uma forma diferente. Em muitas escolas a hora letiva passou a ser de 60 minutos efetivos com os alunos. Agora imaginem o que pode vir a acontecer com uma maior “convergência” do Público com o Privado.
Link permanente para este artigo: https://www.arlindovsky.net/2012/09/sondagem-organizacao-dos-tempos-letivos/
Set 12 2012
Este Pirar (Do País) É Tentador
Brasil pode receber professores desempregados
Alguns reitores das universidades portuguesas propuseram ao Brasil a recepção de professores portugueses no desemprego, mas aquele país ainda não deu nenhuma resposta oficial sobre a proposta, disse esta terça-feira a coordenadora geral do Programa de Licenciaturas Internacional (PLI).
…
O Programa de Licenciaturas Internacionais é um programa brasileiro que surgiu “pela falta de professores na Educação Básica, em áreas tão diversas como química, física, matemática, biologia, português, artes e educação física.
Link permanente para este artigo: https://www.arlindovsky.net/2012/09/este-pirar-do-pais-e-tentador/
Set 11 2012
Reclamação de Ultrapassagens em OE
Uma grande amiga dizia-me que a melhor solução para fazer uma reclamação numa escola, ou noutro serviço, era pedir o Livro Amarelo e escrever por ali abaixo sem muitas preocupações uma queixa bem fundamentada.
Não tenho dúvidas que esta é uma excelente solução para quem pode presencialmente dirigir-se a uma escola onde foram colocados candidatos com graduação inferior sem que outros mais graduados tivessem conhecimento da marcação de uma entrevista ou da entrega da avaliação curricular.
No entanto quem quiser seguir a via mais oficiosa pode usar esta minuta em formato word enviada pela Inês.
Depois contem-me qual a reação das escolas quando pedirem o Livro Amarelo.
Boas reclamações!
Link permanente para este artigo: https://www.arlindovsky.net/2012/09/reclamacao-de-ultrapassagens-em-oe/
Set 11 2012
Outro a Pirar-se
Chumbado requerimento do PS para audição urgente do ministro da Educação no Parlamento
A maioria PSD-CDS chumbou hoje o requerimento do PS para ouvir, na Comissão de Educação, o ministro Nuno Crato sobre os problemas relacionados com o processo de colocação de professores, disse à agência Lusa fonte socialista.
“Temos tido contactos de dezenas de docentes, contestando e verificando em concreto erros técnicos nas suas colocações, problema que abrange todo o território nacional“, disse na altura Rui Santos, exemplificando casos de professores que têm mais anos de serviço do que de idade, professores aposentados que foram colocados e docentes que foram colocados em horários já ocupados.
Link permanente para este artigo: https://www.arlindovsky.net/2012/09/outro-a-pirar-se/
Link permanente para este artigo: https://www.arlindovsky.net/2012/09/isso-e-facil/
Set 11 2012
O Caricato Disto Tudo
…é o papel a que se sujeitam diretores e adjuntos em actos puramente burocráticos e administrativos quando deviam estar concentrados na preparação de um novo ano letivo.
Escrevo-lhe para lhe dar conhecimento de que a supra citada escola pôs a concurso um horário de 20h para o grupo 330 – Inglês, era o “horário 14”.
Concorri e submeti devidamente a candidatura. Apercebo-me que hoje tinham no site deles as listas ordenadas e qual não é o meu espanto quando verifico que o dito horário nem aparecia, termina a lista no horário 13. Não havendo aliás nenhuma lista para horário de Inglês grupo 330.
Ligo para a escola, onde uma funcionária me informa que ninguém me podia atender, pois o diretor estava a fazer entrevistas e um outro membro da direção estava a tratar de “reclamações” às listas publicadas. Expliquei que o meu problema não era sobre as listas publicadas, era não ver o horário a que concorri enunciado, mas sem sucesso, a resposta foi a mesma.
Poderá este horário ter sido absorvido por alguém da mobilidade interna que foi alvo de erros no concurso nacional? Afinal o grupo 330 tinha muitos colegas em mobilidade…
Tentarei obter respostas ainda durante o dia de hoje e o de amanhã, mas caso saiba de alguma informação e não faça post da mesma no seu blog, agradecia que que ma fizesse chegar.
Muito obrigada e melhores cumprimentos
M. A.
Sobre a questão em si o mais provável é que esse horário tenha sido ocupado por um docente com ausência da componente letiva. Ver aqui a lista de MI do grupo 330 e confirmar se esse horário foi ocupado.
Link permanente para este artigo: https://www.arlindovsky.net/2012/09/o-caricato-disto-tudo/
Set 11 2012
Ao Cuidado do Sr. Ministro Crato
Boa Tarde,
Pertenço ao Grupo 510-Física e Química e após ter concorrido a mais de 50 escolas TEIP, até agora ainda não fui seleccionada. Tenho uma graduação elevada e vejo pessoas com graduação de 15,000 a passarem à frente.
Estes resultados são francamente fabulosos e ilustram o estado de corrupção , degradação e desrespeito pelos mais graduados e com mais tempo de serviço.
Os Diretores dos Agrupamentos deviam ser processados por infringirem a Lei e cometerem fraude.
Já fiz um reclamação à DGAE onde peço explicações para a violação de tantos artigos.Junto em anexo Print screen com os resultados dos selecionados que aparece na DGAE, acrescentei o nº de ordem (constante nas Listas das Escolas) dos seleccionados para terem uma ideia da situação.
É vergonhoso.
Será que algum dia isto fica resolvido?
G.M
Link permanente para este artigo: https://www.arlindovsky.net/2012/09/ao-cuidado-do-sr-ministro-crato/
Link permanente para este artigo: https://www.arlindovsky.net/2012/09/curioso-o-contraste/
Set 11 2012
É Só Mais Um Bocadinho Assim
O repórter da SIC, Bernardo Ferrão, está no Ministério das Finanças, onde se espera também o anúncio de mais medidas de austeridade, tais como uma nova subida do IVA e mais cortes na Saúde e Educação.
Podem comentar neste post quais os cortes na educação porque já perdi a paciência para ouvir mais este ministro.
Link permanente para este artigo: https://www.arlindovsky.net/2012/09/e-so-mais-um-bocadinho-assim/
Set 11 2012
Education At A Glance 2012
Previsões da OCDE contrariam Nuno Crato
A percentagem de alunos entre os 15 e os 19 anos vai aumentar 10% ou mais por comparação com a última década. A previsão é da Organização para a Cooperação e Desenvolvimento Económico (OCDE) e contraria as projecções apresentadas pelo ministro Nuno Crato nos últimos dias.
Para ler durante a semana.
Relatório da OCDE
Education at a Glance 2012
Link permanente para este artigo: https://www.arlindovsky.net/2012/09/education-at-a-glance-2012/
Link permanente para este artigo: https://www.arlindovsky.net/2012/09/podemos-chamar-a-isto-amiguismos/
Link permanente para este artigo: https://www.arlindovsky.net/2012/09/a-entrevista-de-nuno-crato-a-tvi/
Set 11 2012
Debate em Torno da Vinculação “Extraordinária”
Chegou-me este mail oportuno para fazer um debate sobre a vinculação “extraordinária” de professores contratados. Coloco entre aspas o extraordinária porque tenho uma opinião muito própria sobre o assunto que mais tarde darei conta.
Por enquanto coloco esta reflexão da Isabel Ferreira e durante a semana voltarei a este assunto para encontrar formas e soluções para uma vinculação do maior número de professores contratados em 2013., isto se entretanto os anonymous me deixarem sossegado.
O MEC veio hoje manifestar a intenção de integrar permanentemente, ainda este ano civil, um número não quantificado de professores (neste Blog também já o tinhas adiantado e até manifestaste alguma satisfação). Mas como somos governados por políticos portugueses gostava de levantar algumas dúvidas, que coloco à reflexão de todos. Vamos pelos critérios desta vinculação extraordinária:
Critério nº 1 – Tempo de serviço:
Para aferir as necessidades permanentes de uma escola (e neste caso do sistema) podíamos estabelecer que quem leccionasse há mais de 10 anos deveria ser imediatamente vinculado (10 anos a trabalhar é sinal mais do que suficiente da necessidade desse professor). Mas porquê 10 anos? Porque não 9 ou 11? Porquê uma permanência mínima no sistema? Não seria mais justo ter como critério a graduação? Parece-me que sim. Só este critério é válido. A graduação e não o tempo de serviço (que embora estejam associados não são uma e a mesma coisa).
Critério nº 2 – Permanência em determinada escola ou a famosa “recondução”:
É um critério aparentemente válido; se uma determinada escola precisou durante 3 ou mais anos de um professor de Inglês isso é uma necessidade permanente. O problema é que o Professor de Inglês não tem necessariamente que ser o Zé Manel (que entretanto viu o seu contrato renovado 3 anos seguidos). Se há necessidade de um Professor de Inglês que se vincule um professor de Inglês com o critério da…. óbvio, da graduação. Como? Se a Escola de Santa Coisa precisa há 3 ou mais anos de um Professor de Inglês, o que significa que precisa permanentemente de um professor de Inglês (e não necessariamente daquele que entretanto por lá tem ficado) tem que se fazer…. um concurso nacional para se poder escolher o Professor mais graduado para aquele horário!
Se a Escola de Santa Coisa precisa de um tal Professor tem que se dar a oportunidade a qualquer Professor daquele Grupo de manifestar a preferência por aquele horário e desta forma colocar o melhor graduado. Mas se assim for, ao horário de Santa Coisa vai concorrer o professor colocado em Assobio, professor este que será vinculado permanentemente em Santa Coisa em Dezembro tendo, no entanto, que terminar o ano em Assobio?!
Critério nº 3 – Não fazer a vinculação extraordinária – fiquemo-nos pela ordinária – com calma e critério
fazer a dita vinculação, mais do que justa, no decorrer do ano lectivo, permitindo que todos manifestem as preferências e colocar todos os que forem necessários pelo critério da…. Graduação.
Porque isto, assim feito à pressa, é uma forma do MEC passar a mãozinha nas costas de alguns como forma de calar todos…. E se a graduação for o critério (porque é o único aceitável) os problemas que criará serão muito mais graves do que aquilo que resolve. Espere-se pelo concurso ordinário e isto faz-se à mesma!!
Obrigado pela paciência
Link permanente para este artigo: https://www.arlindovsky.net/2012/09/debate-em-torno-da-vinculacao-extraordinaria/
Set 10 2012
Mensagem Tardia
… mas importante.
Não podemos ter complacência nenhuma com algum amiguismo que possa haver.
Nuno Crato (10-09-2012)
Link permanente para este artigo: https://www.arlindovsky.net/2012/09/mensagem-tardia/
Set 10 2012
Blog em Compasso de Espera
… porque está alojado na GoDaddy.
Daí o apagão ao final do dia de ontem e alguns problemas que estou a sentir na edição dos post.
GoDaddy Outage Takes Down Millions Of Sites, Anonymous Claims Responsibility
According to many customers, sites hosted by major web host and domain registrar GoDaddy are down. According to the official GoDaddy Twitter account the company is aware of the issue and is working to resolve it.
Update: customers are complaining that GoDaddy hosted e-mail accounts are down as well.
Update 2: Anonymous is claiming responsibility.
Espero que se resolva rapidamente senão terei de mudar de servidor.
Link permanente para este artigo: https://www.arlindovsky.net/2012/09/blog-em-compasso-de-espera/
Set 10 2012
Por Darque – Técnicos Especializados
Bom exemplo na gestão de um concurso público.
Ex.mo/a Senhor/a
Terminado o prazo de apresentação de candidatura para os 2 concursos de horários de 12 e 6 horas para técnico especializado para leccionação ao curso CEF de Serviço de Mesa deste agrupamento cumpre passar às fases seguintes: avaliação do portfolio e entrevista.
Em primeiro lugar recorda-se aos oponentes a estes 2 concursos que:
1. Foi publicado na nossa página (e tal também constava da aplicação da DGAE) um aviso de abertura em que, entre outras informações,constava que a habilitação de selecção era Licenciatura ou frequência de curso superior da área de hotelaria ou turismo.
2. Assim, candidatos que não possuam essahabilitação são automaticamente excluídos e não poderão ser seleccionados.
3. Aparentemente vários candidatos estão nessa situação,por isso, muito embora sejam notificados para as fases seguintes, deverão ponderar a utilidade de prosseguir, face a esta informação (não temos dados certos para os excluir, desde já, mas cremos que o seu conhecimento pessoal da sua situação ajudará a que clarifiquem o seu posicionamento, evitando passos inúteis). Se aqueles que se encontram nessa situação (ou os que tenha entretanto desistido) tivessem a cortesia de o comunicar para este endereço ([email protected] ou [email protected]), em resposta a esta comunicação, tal resultaria em grande economia de meios e tempo com vantagem para a escola e restantes candidatos.
4. Por outro lado, nesta fase do procedimento os candidatos ainda só introduziram a variável de selecção “número de anos”. Recorda-se que terão de provar os dados introduzidos e de acordo com o critério de contagem que enunciamos no nosso aviso prévio ao concurso. Dado que esses dados não estão confirmados (e todos os candidatos estão a ser convocados) serão incluídos apenas em lista final a publicar.
As fases seguintes decorrerão do seguinte modo:
1. Em anexo, remete-se o calendário (lista) das entrevistas a realizar (neste tipo de concursos, no nosso entendimento, não se aplica a regra dos “grupos de 5” que se aplica aos docentes e, por isso, todos tem de ser convocados resultando em 3 dias inteiros de trabalho com entrevistas). No calendário cada candidato deve verificar o nome, hora e data para que fica por este meio convocado a comparecer. A ordem seguida foi alfabética (do 1º nome).
2. Convocam-se por correio electrónico por 2 razões: nas moradas dos candidatos, em geral, não consta no indicado na aplicação o código postal (o que dificulta o envio desta quantidade de cartas) e o endereço electrónico que estamos a usar foi o que, por si próprios, indicaram na aplicação (sabendo que seria usado para contacto);
3. No dia da entrevista sugere-se que compareçam pontualmente porque, havendo desistências, poderão ser atendidos mais cedo e mais cedo ficarão libertos desta tarefa. Por este motivo se adoptou a perspectiva de de convocar grupos de 8 a 10 pessoas para a mesma hora (o que resultará em tempo de espera variável, devendo os candidatos reservar pelo menos 3 horas para realização da entrevista). Como devem reparar há candidatos com os nomes repetidos (concorreram aos 2 concursos mas só farão 1 entrevista que valerá para os 2).
4. Até ao dia da entrevista (ou imediatamente antes desta,no próprio dia) deverão entregar ao júri os portfolios (obrigatório) com a referência do número de candidato e nome (e se possível em suporte digital pdf) e os documentos comprovativos dos dados com que concorrem (nomeadamente comprovativos de tempode serviço e experiência).
5. Os candidatos que não compareçam na data e hora marcada serão considerados, sem mais, desistentes e excluídos (a não ser que até ao momento de encerramento do processo de entrevistas – ultima entrevista marcada – contactem por mail a informar de motivo válido – doença ou dificuldade de transportes inultrapassável e comprovada).
6. No caso de o motivo de ausência ser considerado válido, e aceite, a sua entrevista será realizada, e fica desde já convocada para o 1º dia útil seguinte ao da última aqui agendada, pelas 10 horas da manhã, no local indicado.
7. Em anexo segue roteiro genérico da entrevista a realizar e acta do júri para alem de calendário das entrevistas.
8. As entrevistas decorrem na escola sede do agrupamento (Escola EB23 Carteado Mena) situada em Darque (na zona designada por Cidade Nova, perto do Centro de Saúde)
9. Sobre este assunto podemos ser contactados por telefone mas seria preferível que usassem o correio electrónico face ao numero de candidatos envolvidos.
Com os melhores cumprimentos,
Luís Sottomaior Braga
Director do Agrupamento
Em anexo:
Acta do júri relativa a entrevistas
Link permanente para este artigo: https://www.arlindovsky.net/2012/09/por-darque-tecnicos-especializados/
Set 10 2012
A 2ª Fase de Alfornelos
Depois desta 1ª fase eliminatória Alfornelos lança a 2ª fase do processo de seleção de candidatos.
Isto já parece um conto de fases.
Link permanente para este artigo: https://www.arlindovsky.net/2012/09/a-2a-fase-de-alfornelos/
Set 10 2012
Quando Sai a RR1?
Esta é a pergunta que já me fizeram mais de uma dúzia de vezes no dia de hoje e na qual não tenho resposta.
A única coisa que posso dizer é que a BR1 no ano passado saiu no dia 12 de Setembro (segunda-feira) apenas com horários anuais e em 2010 saiu no dia 9 de Setembro (quinta-feira) também só com horários anuais.
Por isso é provável que esteja para sair em breve a esperada RR1.
O que acho que vai acontecer nesta lista?
Pelo que temos visto nas contratações de escola os horários deixaram de ser declarados anuais para passarem a mensais, assim prevejo que também saiam nesta lista horários temporários. É também muito provável que o número de contratados colocados seja bastante inferior às listas de 2010 e 2011 por existirem mais docentes com ausência da componente letiva por colocar e desta vez em mais grupos de recrutamento.
Receios que tenho sobre a RR1
Que as colocações duplas sejam resolvidas individualmente pela DGAE, com a colocação de contratados nos horários pedidos pelas escolas para a RR1, deixando assim menos horários para novas contratações.
Mas quando saírem as listas já sabem que as colocarei por aqui para fazer o tratamento de números do ano letivo 2012/2013. E espero contar com a vossa ajuda.
Link permanente para este artigo: https://www.arlindovsky.net/2012/09/quando-sai-a-rr1/
Set 10 2012
Ainda a Manuel da Maia
Se por um lado pedem para os 10 primeiros enviarem o curriculo para a escola por outro lado colocam os posicionados nos trezentos e tais.
Sou professora do grupo 500 e no presente ano letivo, concorri às várias ofertas de escola do Agrupamento de Escolas Manuel da Maia.
De acordo com o que está disponível na página do agrupamento, apenas os dez primeiros graduados deveriam enviar curriculum e os restantes enviar por email a tabela preenchida que se encontrava em anexo…
Conclusão: como me situava numa posição que não era das dez primeiras, enviei apenas o anexo.
Na passada sexta feira (07/09/2012) pelas 17h10 recebi uma notificação via email, para que entrasse emcontato com a escola para dar seguimento ao concurso… Mas mesmo antes de ter conseguido falar com alguém da escola, constatei que os horários já estavam ocupados por colegas com graduações muito inferiores.
Posteriormente, fui informada pela escola que as notificações enviadas por email não eram da responsabilidade da escola e que os horários já estavam todos ocupados. Permita-me que questione, como é possível selecionar colegas ordenadas com números superiores ao trezentos, sem terem sequer feito entrevista ou avaliação curricular aos colegas que estavam em posições mais favoráveis? A legislação não exige que seja realizada entrevista ou uma avaliação curricular aos cinco primeiros candidatos? Mesmo que os cinco primeiros candidatos tenham recusado o horário ou até mesmo não corresponderem ao perfil pretendido pelo agrupamento, como foi possível que alguns candidatos passassem à frente de mais de trezentas pessoas?
Gostaria de perceber como eu e muitos outros colegas fomos ultrapassados por candidatos menos graduados, sem termos sido sujeitos à aplicação dos subcritérios exigidos pelo art. 18º daPortaria n.º 83 -A/2009 com a redacção dada pela Portaria n,º 145-A/2011. Não seria do interesse do agrupamento escolher os docentes com perfil mais adequado e não ter apenas como critério único o facto de o docente ter lecionado ou não no agrupamento em pelo menos um dos dois últimos anos? Estará esta forma de agir de acordo com a nova legislação que regulamenta as ofertas de escola? Então e a entrevista? Ou a avaliação Curricular? Só é feita a quem fica com o lugar?
Link permanente para este artigo: https://www.arlindovsky.net/2012/09/ainda-a-manuel-da-maia/
Set 10 2012
Pela Manuel da Maia
… cumpriram apenas o estipulado no nº 8 do artigo 39º que não obriga à notificação dos candidatos e foi por esta razão que nesta fase procurei criar uma página com links para todas as escolas TEIP e com Autonomia.
A escola apenas está obrigada a notificar os candidatos no fim do processo de seleção (artigo 40º, número 2).
Fica o mail que chegou que serve de aviso para outras contratações de escola que tenham concorrido.
O Agrupamento de Escola Manuel da Maia não contatou os contratados, publicitando apenas na sua página a mensagem que segue em anexo.
Ao reparar que contrataram um outro candidato menos graduado que eu, procurei as listas na página do Agrupamento e deparei-me com esta realidade.
Agora temos de passar a verificar as dezenas/centenas de páginas de escolas para onde concorremos?
Talvez não tenha sido escolhida por não ter tido conhecimento da informação acima. Devo reclamar? Para onde? Terei razão?
Obrigado,
PA
Link permanente para este artigo: https://www.arlindovsky.net/2012/09/pela-manuel-da-maia/
Link permanente para este artigo: https://www.arlindovsky.net/2012/09/evento-para-hoje/
Set 09 2012
Os Pequenos Diretores
Legendagem da Sofia R. adaptada ao fabuloso mundo das contratações de escola.
Link permanente para este artigo: https://www.arlindovsky.net/2012/09/os-pequenos-diretores/
Link permanente para este artigo: https://www.arlindovsky.net/2012/09/por-pedome/
Set 09 2012
Questões a Nuno Crato
Documento em pdf que me chegou com uma série de questões levantadas a Nuno Crato por professores contratados.
Já que o Ministro não visita blogues aconselho a enviarem para a Judite de Sousa ou para a TVI o documento em PDF para a entrevista de amanhã no Jornal das 8 na TVI
Questões às quais todos os professores contratados desejariam obter uma resposta por parte do Ministério da Educação e Ciência (MEC).
– Como é possível o MEC abrir um concurso público para contratação de professores a 13 abril 2012, onde o aviso de abertura refere claramente que os diplomas que regularão o concurso são os Decreto-Lei n.º 20/2006, de 31 de janeiro, na redação dada pelo Decreto -Lei n.º 51/2009, de 27 de Fevereiro e aquando a manifestação das preferências do concurso, em julho 2012, o mesmo concurso passa a ser regulado pelo DL 132/2012? Isto é a mesma coisa que um jogo de futebol ter um regulamento na 1ª parte do jogo e após o intervalo a 2ª parte será jogada com regras diferentes…
– Porque têm os professores contratados de andar meses a fio preocupados com o seu concurso? Não entendemos. O concurso é realizado numa plataforma eletrónica, iniciou-se em abril 2012 e só terminou em finais de Julho 2012. Será que os professores contratados não têm direito a férias e a um processo menos desgastante?
– Os professores contratados são avaliados todos os anos desde que cumpram mais de 180 dias de serviço, não acontecendo o mesmo com as restantes categorias de professores. Apesar do processo da avaliação de desempenho ter sofrido uns pequenos ajustes, será que os professores contratados não mereciam igual tratamento aos demais professores e só deveriam ser avaliados quando cumprissem pelo menos 500 dias de serviço ao longo de dois anos letivos? Ou seja, bianual?
– Diz o senhor ministro da educação e ciência que existem professores a mais nas escolas. Perguntam os professores contratados, mas com as escolas a serem agrupadas em mega agrupamentos e outras centenas a serem encerradas, com as turmas a ficarem com 30 alunos e com a extinção de algumas disciplinas, será que são os professores que estão a mais ou será que as medidas do MEC é que estão a colocar os professores contratados no desemprego?
– Em que factos se baseou o sr. ministro para colocar as turmas com 30 alunos? Centenas de estudos e centenas de exemplo dizem-nos que muita quantidade significa um abaixamento da qualidade. Sr. ministro, até os planteis de futebol só querem 23/24 jogadores no máximo e é para colocar os jogadores num espaço de 90*45 metros e não numa sala de aulas com pouco mais de 20 metros quadrados.
– Os professores contratados têm famílias e vários encargos. Várias vezes ao dia, tâm de estar os professores contratados em frente ao seu computador pessoal a ver se é hoje que são publicadas listas, ou se foram lançadas ofertas de escola, etc. Será pedir muito o MEC colocar a informação na sua página ou na página da DGAE com o agendamento da publicação das variadas listas? Ou não terá o MEC e a DGAE pessoas competentes para tal tarefa?
– É da opinião geral que todos os exames nacionais realizados no último ano letivo foram de uma dificuldade extrema e tal como o MEC anunciou, os resultados baixaram muito. Será que este ano letivo os exames serão mais acessíveis de modo a que se obtenham melhores resultados e o MEC possa afirmar que todas as medidas que tomou para este ano letivo foram as melhores? Medidas como colocar milhares de professores contratos desempregados? Haverá algum tipo de correlação aqui?
– Em relação às ofertas de escola (contratação de escola), são centenas de casos com irregularidades. Muitas são já as reclamações. O que tem o sr. ministro a dizer em relação:
– Às escolas que colocam os docentes menos graduados à frente dos mais graduados?
– Aos diretores de escola que aceitam a prestação de dados falsos, como a contagem do tempo de serviço por exemplo, para que a pessoa que lhe interessa seja colocada? Não deveria um diretor ser punido por tal situação? Não deveria o candidato que presta falsos dados ser imediatamente excluído?
– Às escolas que convocam todos os professores para realizarem um entrevista, quando o DL 132/2012 (o que regula o concurso) diz que só os primeiros 5 é que são chamados?
– Às escolas que colocam sub critérios de admissão à medida de determinados professores? Em alguns casos só falta mesmo colocarem o nome do candidato que pretendem.
Ainda, no que concerne às contratações de escola, perguntam os professores contratados:
– As escolas TEIP ou com autonomia não poderiam entrar no dito concurso anual? Qual a lógica de terem um regime de contratação de docentes à parte e à medida dos interesses individuais?
– Faz algum sentido um professor contratado, com X anos de serviço, submeter-se a uma entrevista que muitas ou todas as vezes está “viciada”, tendo muitas vezes de percorrer centenas de quilómetros para isso?
– Não concorda que o mais correto nestas situações fosse todas as escolas TEIP e com autonomia solicitarem apenas a graduação profissional dos candidatos e nada mais? Assim, os mais graduados seriam sempre os primeiros a serem colocados e traria veracidade a este tipo de concurso. Em caso de empate na graduação, seria dada sempre preferência ao docente com maior idade. Que lhe parece desta ideia?
– Gostariam os professores contratados de saberem como é possível o MEC realizar uma reforma curricular e tomar outras medidas sem ouvir os professores?
Para finalizar este rol de questões e a título de curiosidade meramente, gostaríamos de saber apenas durante quantos anos lecionou o senhor ministro numa escola pública e há quanto tempo?
Nós, professores contratados gostaríamos de ver todas estas questões a serem respondidas de forma clara e objetiva. Esperemos que o sr. ministro tenha coragem para tal.
Diz o sr. ministro que não há motivos para os professores o contestarem, então sugerimos que realmente comece a ouvir os professores e se não for pedir muito leia alguns blog’s ou espaços destinados aos professores. Se não tiver tempo, tem sempre os seus secretários de estado e demais assessores que poderão faze-lo por si e transmitir-lhe o que vai na “alma” dos professores, nomeadamente dos professores contratados. Aqui entre nós, há quem diga que é o pior ministro da educação desde o regime salazarista.
Link permanente para este artigo: https://www.arlindovsky.net/2012/09/questoes-a-nuno-crato/
Set 09 2012
Pelos Olivais
Não é novo e já publiquei imagem idêntica de uma outra escola.
Não conhecem o Cco do gmail?

Link permanente para este artigo: https://www.arlindovsky.net/2012/09/pelos-olivais/
Set 09 2012
Pela Cardoso Lopes
Com queixa diretamente para o MEC
Assunto: Contratação de escola
Para: correio <[email protected]>, Administrator <[email protected]>, ugmc <[email protected]>, “gabinete.seeae” <[email protected]>
Exmos Srs
Quero informar de um problema grave que me fui apercebendo com o tempo e que os directores estão a fazer nos horários de contratação de escola:
– Sei que a aplicação da DGAE seleciona os 5 candidatos melhores graduados. De seguida, envia automaticamente um email de notificação para contactarmos a escola para a 2ª fase dos subcritérios. Contudo, esse email chega com dias de atraso! Sim, dias de atraso! E não sabemos que estamos notificados! Assim, não vamos à entrevista, nem enviados os dados da avaliação curricular.
– Os diretores, para chegarem ao nome de quem querem, mesmo que essa pesssoa seja o número 300, fazem a aplicação da DGAE avançar e notificar TODOS os candidatos até ao número dessa pessoa. Têm depois a sorte de ninguém saber de nada, porque como já disse, a notificação só surge dias depois. Só não sei a justificação que os diretores dão para puderem avançar na aplicação. Isso não é obrigatório? Não há justificação possível, porque nenhum dos candidatos recebeu ainda a notificação e por issso não puderam ir à entrevista/avaliação curricular. Desta forma, só vai responder aos subcritérios o candidato que a escola quer e assim fica ele colocado no horário. Na aplicação surge então o número desse candidato como selecionado. Por exemplo, no AE Cardoso Lopes, o candidato já estava selecionada há vários dias e só hoje recebi a notificação da DGAE para contactar a escola para a 2ª fase. Ora, eu sou o número 49 da lista ordenada da escola e o candidato que ficou é o 118! E a mim ninguém pediu avaliação curricular! Então como é que a escola justificou o avanço até ao número 118?!
Isto é horrível e preverso, mas é o que está a acontecer. Terrível a falta de respeito pela lei e a imoralidade dos diretores. A lei só pede os 5 primeiros, mas os diretores arranjaram uma forma muito preversa de contornar a aplicação.
Peço uma intervenção urgente da DGAE para acabar com esta pouca vergonha ou então terminem com a farsa das ofertas de escola que só dão problemas. Tudo por concurso nacional e já não haverão reclamações, confusões ou injustiças.
Cumprimentos
P M
Link permanente para este artigo: https://www.arlindovsky.net/2012/09/pela-cardoso-lopes/
Set 09 2012
Fórum FNE 2012
Definidas ações imediatas junto do MEC
Terminou este sábado (08/09) o Fórum FNE 2012, onde durante três dias dezenas de dirigentes debateram o futuro da educação com um leque muito diversificado de convidados.
Na sessão de encerramento e apresentação de conclusões ficaram decididas duas ações imediatas a tomar junto do Ministério da Educação e Ciência. A primeira, será já tomada no início desta semana e prende-se com um pedido de reunião, com caráter de urgência, ao ministro da educação para tratar de questões relacionadas com o início do ano letivo, nomeadamente, os casos de desrespeito pela graduação profissional dos docentes nos concursos de oferta de escola, em que alguns diretores não têm cumprido o que está estipulado na lei. Para além disso, a FNE, levará junto do ministro Nuno Crato, o seu mais veemente protesto face ao desrespeito, que em algumas escolas, está a permitir que os professores fiquem com 24 horas tempo letivo, contra as 22 horas, que a lei estipula.
Ficou ainda decidido, que esta semana, será enviado ao Diretor Geral da Administração Escolar um pedido de reunião para tentar resolver os problemas relativos aos concursos dos não docentes, que se encontram numa situação de impasse.
Link permanente para este artigo: https://www.arlindovsky.net/2012/09/forum-fne-2012/
Link permanente para este artigo: https://www.arlindovsky.net/2012/09/a-musica-do-blog-de-domingo-a-tarde/
Set 09 2012
Blogosfera – A Educação do Meu Umbigo
A desmontagem do número de redução de alunos da entrevista de Nuno Crato ao Sol
(O Gabinete De?) Nuno Crato E A Estatística
Link permanente para este artigo: https://www.arlindovsky.net/2012/09/blogosfera-a-educacao-do-meu-umbigo-10/
Set 09 2012
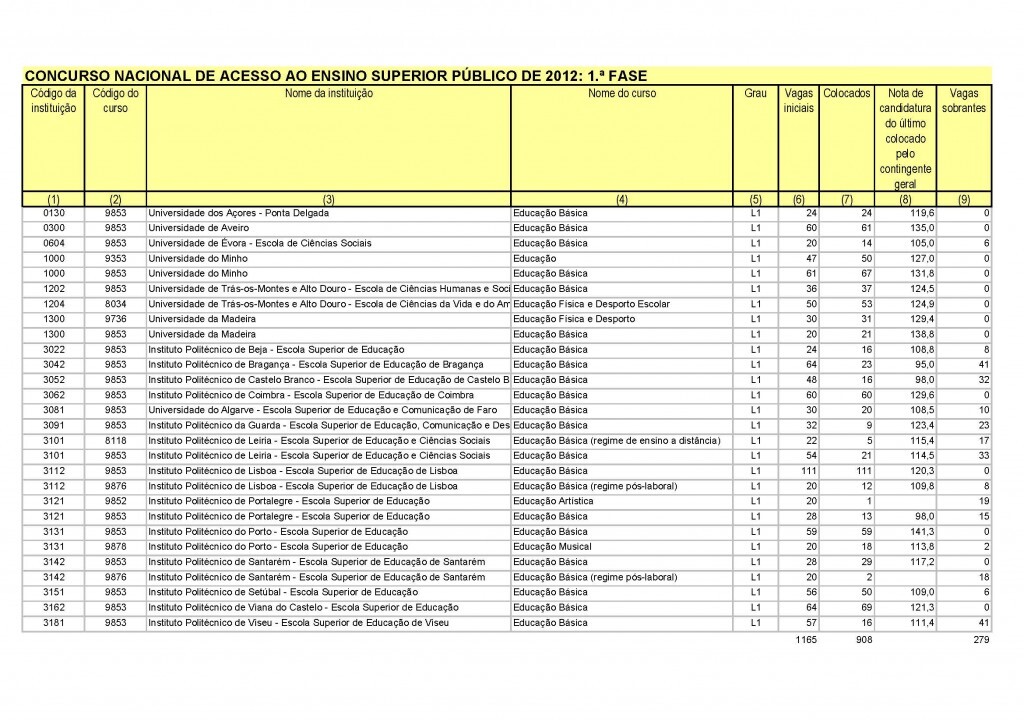
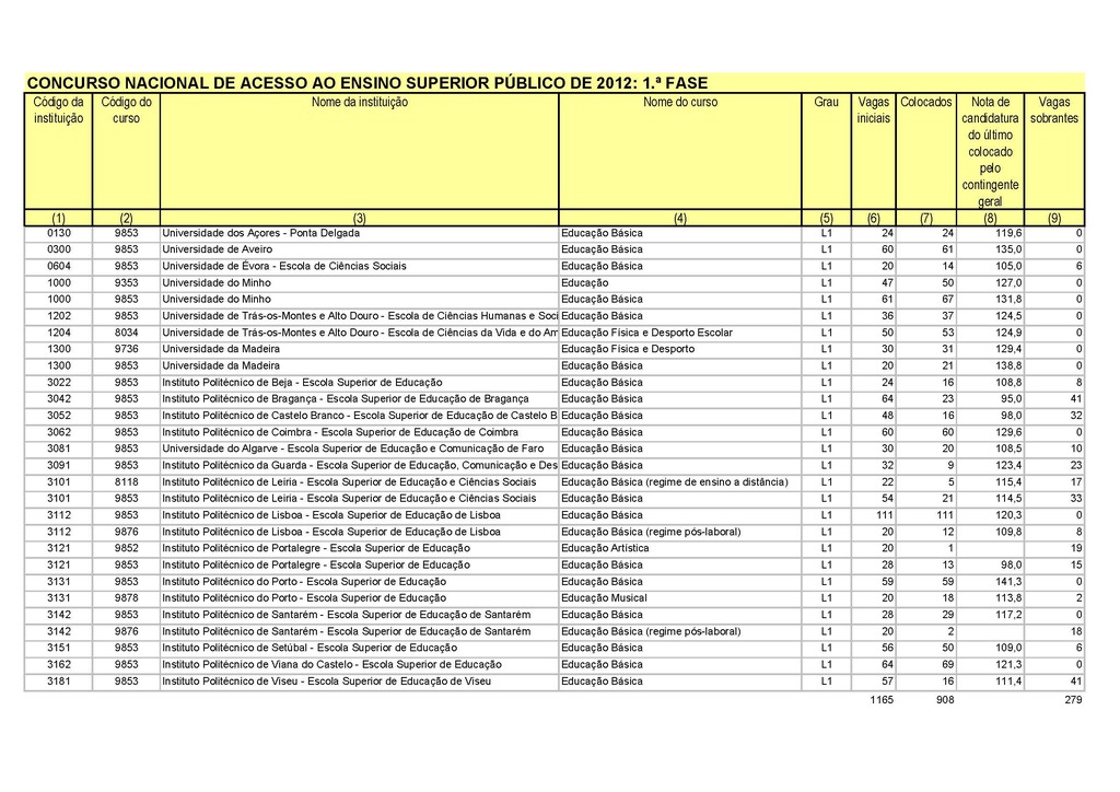
40415 Colocados na 1ª Fase no Ensino Superior
Ensino Superior com a menor procura desde 2006
Resultados do Concursos 2012 em Excel e em PDF.
Número de colocados em cursos exclusivamente vocacionados para o ensino.
Link permanente para este artigo: https://www.arlindovsky.net/2012/09/40415-colocados-na-1a-fase-no-ensino-superior/
Set 08 2012
De Novo A Vialonga
Envio em anexo os candidatos selecionados para o 910 em Vialonga, bem como algumas notas.
Tenho visto muitos abusos nestas contratações de escola mas esta escola leva-os a um extremo impensável.
Convocaram as centenas de pessoas que concorreram para ir à escola para depois escolherem o n.º 500 e tal ou mesmo o 743 da lista. Não há vergonha.
Se não tivesse visto os subcritérios e agora visse apenas os selecionados e os seus dados diria que os subcritérios eram:
– média de curso não superior a 14
– máximo de 1200 dias de serviço
– graduação profissional jamais superior a 17.000
– preferência dada a candidatos ordenados entre os 3000 e os 4000 da lista definitiva de ordenação do grupo de recrutamentoÉ assim que os Diretores de algumas escolas TEIP escolhem (como eles dizem) os melhores professores? Ou se calhar a própria escola acha que não merece melhor.
Porque já nada de bom é de esperar desta escola as listas definitivas de ordenação publicadas em http://www.eps-vialonga.rcts.pt/lista.htm contém apenas o n.º e nome de candidato e a classificação final com que ficaram os candidatos depois de aplicados os subcritérios.
A avaliação que cada um teve nos subcritérios nem aparece não fosse dar-se o caso de algumas professoras terem que ter dado notas que rebentassem a escala, de modo a fazer com que uma graduação inferior a 16 viesse a ultrapassar algumas de mais de 23.Cumprimentos,
AC
Link permanente para este artigo: https://www.arlindovsky.net/2012/09/de-novo-a-vialonga/
Set 08 2012
A Saga da Azevedo Neves
As candidatas que estão em 1º têm graduação de 16 e picos e entre 600 que concorreram ao horário estão nos 500… Mais: a primeira candidata tem uma alínea na avaliação curricular que diz: colocada neste/noutro estabelecimento.
De reparar que no horário 13 a candidata que está em 1º ainda não tem essa alínea, pois supostamente esse horário vai para ela.
Link permanente para este artigo: https://www.arlindovsky.net/2012/09/a-saga-da-azevedo-neves/





















