… que não batem certo com os do MEC e por isso podem ter algumas falhas.
Agosto 2012 archive
Ago 31 2012
Números de Renovações
Link permanente para este artigo: https://www.arlindovsky.net/2012/08/numeros-de-renovacoes/
Ago 31 2012
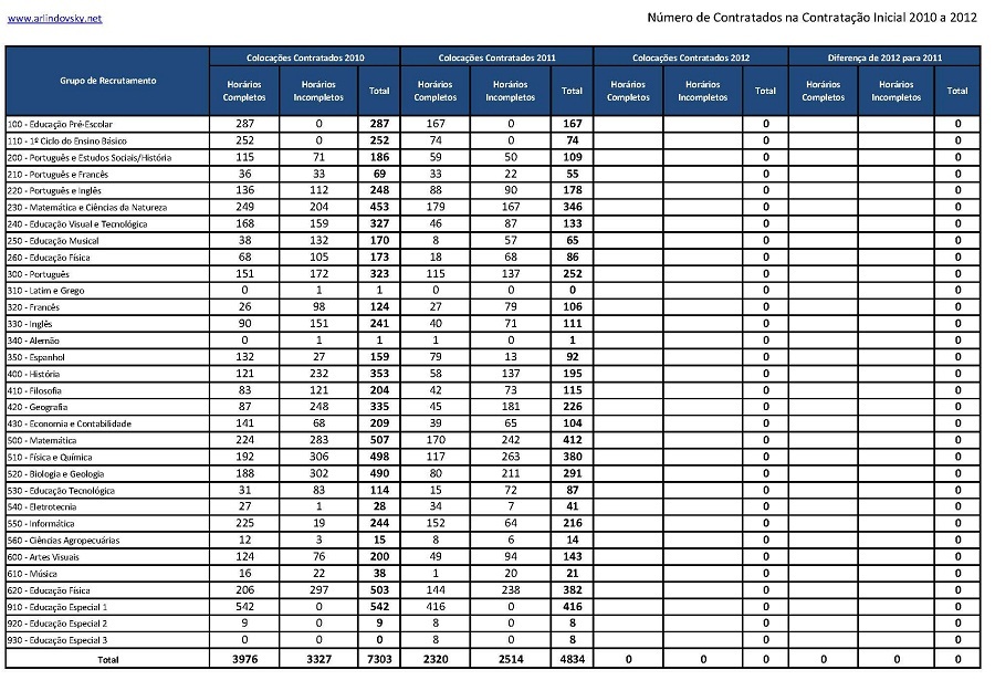
Números da Contratação
Link permanente para este artigo: https://www.arlindovsky.net/2012/08/numeros-da-contratacao/
Ago 31 2012
Colocados menos 5147 professores
O Ministério da Educação de Ciência, anunciou esta sexta-feira em comunicado que dos 51.209 candidatos sem vínculo à função pública que se candidataram ao concurso para contratação inicial e renovação de contrato ficaram colocados apenas 7600.
São menos 5147 do que o número de professores contratados no ano passado, quando entraram nas escolas, nesta fase, 12 747 docentes sem vínculo.
A mesma fonte indica que ficaram colocados 1.999 professores do quadro que tinham concorrido devido à ausência de componente lectiva nas respectivas escolas e 801 docentes, que foram a concurso para aproximação à residência.
“Permanecem sem colocação 1.872 DACL, que farão substituição de aposentações, docentes com baixa médica prolongada e licença de parentalidade. Poderão também desenvolver trabalho em Actividades Extracurriculares (AEC), apoio ao estudo ou coadjuvação em disciplinas estruturantes”, informa o gabinete de imprensa do ministério.
Segundo a nota distribuída, as escolas solicitaram a colocação de docentes para o preenchimento de 12.114 horários, dos quais 1.714 horários (completos e incompletos), ficaram por preencher.
“Tal como todos os anos”, indica o ME, estes horários “serão agora reavaliados pelas escolas para que os possam complementar nos casos necessários“, com horas que resultem de aposentações e doenças que entretanto ocorram.
Os horários daí resultantes serão colocados a concurso na reserva de recrutamento (as chamadas “bolsas”).
“Esta colocação realizar-se-á semanalmente durante o primeiro período escolar, tendo em vista o preenchimento destes horários e de outros que venham a ser solicitados“, conclui.
Apenas 4471 professores viram os seus contratos renovados, o que representa uma quebra de 43,5 por cento em relação ao ano anterior, quando renovaram 7915 professores.
_____________________________________
Devido à tardia publicação das listas ainda não consegui completar os quadros que tentava colocá-los hoje no blog.
Ainda me faltam demasiados dados e a cabeça a esta hora não está nada fresca. Vou ao longo do fim de semana completar o quadro mas se entretanto quiserem ajudar a completá-lo fica aqui o excel para isso.
Link permanente para este artigo: https://www.arlindovsky.net/2012/08/colocados-menos-5147-professores/
Ago 31 2012
A Grande Hecatombe
Grupo de EVT sem qualquer professor colocado
A Associação de Professores de Educação Visual e Tecnológica anunciou esta quinta-feira que no Grupo 240 (que reúne os professores do 2º ciclo das novas disciplinas de Educação Visual e de Educação Tecnológica) a razia é total.
Entre os cerca de 2000 docentes candidatos à colocação, cujos resultados foram hoje conhecidos, não há um único que tenha sido contratado ou que tenha visto o contrato renovado. No ano passado, nesta fase, ficaram colocados com contrato inicial 133 docentes (menos 194 que em 2010, já) e renovaram contrato 286 (menos 156 que um ano antes). “Acabando o par pedagógico e passando a existir duas novas disciplinas, EV e ET, cada uma com um professor, era de prever que isto acontecesse”, lamentou, em declarações ao PÚBLICO, o presidente da APEVT, José Alberto Rodrigues.
Salvaram-se apenas 60 DACL, sendo que apenas 32 conseguiram um horário completo.
Link permanente para este artigo: https://www.arlindovsky.net/2012/08/a-grande-hecatombe/
Link permanente para este artigo: https://www.arlindovsky.net/2012/08/todas-as-listas/
Ago 31 2012
Afinal…
Ficaram colocados cerca de 3381 docentes na contratação inicial e cerca de 4320 docentes em renovação de colocação.
O ano passado foram colocados 4834 docentes em 31 de Agosto e 7915 docentes em renovação.
De 12749 colocações em 2101/2012 ficou em cerca de 8701 em 2012/2013. O saldo é de cerca de 4048 contratações a menos.
Link permanente para este artigo: https://www.arlindovsky.net/2012/08/afinal-4/
Ago 31 2012
Números Aproximados
De contratados colocados:
Para Trabalhar com tempo
Grupo Último Colocado Numero Aprox de colocados
100 524 115
110 360 130
200 588 60
210 267 15
220 810 75
230 1290 125
240 0 0
250 467 25
260 641 100
300 1313 80
310 0 0
320 718 60
330 480 40
340 10 1
350 298 180
400 732 175
410 441 55
420 964 245
430 321 80
500 1555 220
510 1033 250
520 1036 245
530 81 3
540 140 60
550 905 250
560 33 9
600 676 55
610 37 3
620 1586 300
910 1307 400
920 34 10
930 43 15
Link permanente para este artigo: https://www.arlindovsky.net/2012/08/numeros-aproximados/
Link permanente para este artigo: https://www.arlindovsky.net/2012/08/as-listas-de-31-de-agosto/
Ago 31 2012
Quem Anda Azul
… são os que desde as 10 horas da manhã já estão asfixiados de tanto ecrã, F5 e Refresh.
Mas a partir das 19 horas já se vê a lua. 😀
Esta sexta-feira a Lua vai ser azul, ou quase
Link permanente para este artigo: https://www.arlindovsky.net/2012/08/quem-anda-azul/
Ago 31 2012
Post Para As Listas das Ofertas de Escola
Porque já são imensas escolas que publicaram as listas nos seus sites e como está a acontecer quase tudo ao mesmo tempo não terei grandes possibilidades de editar este post ainda hoje.
No entanto podem deixar na caixa de comentários os links para os sites dos agrupamentos que já colocaram as listas.
Link permanente para este artigo: https://www.arlindovsky.net/2012/08/post-para-as-listas-das-ofertas-de-escola/
Ago 31 2012
Bons Exemplos
Mas que mesmo assim seriam escusados se todos os dados dos docentes se encontrassem numa base de dados da DGAE.
Caro(a) candidato(a),
Para proceder à confirmação dos dados constantes nas listas de candidatura, solicitamos que nos devolva devidamente preenchido o documento em anexo e respetiva prova documental.Esta informação devera ser enviada para o endereço eb**************@***il.com até dia 2 de setembro.
Com os melhores cumprimentos,
A Diretora
Alzira Roso
Link permanente para este artigo: https://www.arlindovsky.net/2012/08/bons-exemplos/
Ago 31 2012
A Damaia na Comunicação Social
Convocatória de escola da Damaia aumenta confusão em dia de colocação de professores
A direcção do Agrupamento de Escolas Azevedo Neves, da Damaia, convocou para a manhã desta sexta-feira milhares de professores de todo o país. Alguns tiveram mesmo de se deslocar centenas de quilómetros, apenas para preencher um questionário, numa folha de papel A4, que lhes permite candidatarem-se a 47 vagas. Com a particularidade de estas vagas poderem deixar de existir ainda hoje, quando forem conhecidos os resultados de um outro concurso que tem prioridade.
“Se há confusão ela é da responsabilidade do MEC – a mim cabe-me cumprir a lei e as directivas, segundo as quais na segunda-feira devo chamar os candidatos à ocupação das vagas que não ficarem entretanto preenchidas”, justificou José Biscaia, director do agrupamento de Escolas Dr Azevedo Neves, da Damaia
Engraçada a interpretação de José Biscaia ao remeter esta responsabilidade para o MEC, mas que só é possível de a fazer para quem pretende eliminar todos os candidatos para apenas ficarem os que pretende contratar.
E sobre a chamada de atenção que fiz aqui convém ficar transcrito parte da notícia do público para que tentem perceber melhor o que vos peço.
Esta sexta-feira, então, é um dia de especial vulnerabilidade para os professores. “As pessoas estão muito, muito ansiosas”, verificava esta manhã Arlindo Ferreira, dirigente da Federação Nacional de Educação e autor do Blog DeAr Lindo (https://www.arlindovsky.net), cuja caixa de conversação se tornou num espaço de encontro para professores que aguardam pela publicitação dos resultados do concurso.
Reportagem da SIC, RTP e TVI
[youtube=http://www.youtube.com/watch?v=5_y0Yd2M9iM]
Link permanente para este artigo: https://www.arlindovsky.net/2012/08/a-damaia-na-comunicacao-social/
Ago 31 2012
O Contexto da Notícia dos 8000 Vínculos do DN
… são apenas estimativas que fazem uso do número de docentes com mais de 10 anos de serviço e que já os tinha calculado. Já em 26 de Maio apontava para que existissem 8500 docentes com mais de 10 anos de serviço.
Link permanente para este artigo: https://www.arlindovsky.net/2012/08/o-contexto-da-noticia-dos-8000-vinculos-do-dn/
Ago 31 2012
Esclarecimento Necessário
…para que não voltem a repetir-se brincadeiras de mau gosto no Chat deste Blog.
Como sabem o chat obriga a um registo simples do nick com uma password para poderem participar ao contrário do que acontecia em não era necessário essa password e cada utilizador podia usar o nick de um outro comentador. Essa proteção foi feita para que ninguém se pudesse passar por outro.
No entanto é possível escrever vários nicks e fazerem-se passar por outros utilizadores.
A Prof.ª (Des)empregada já o fez por uma vez e pediu-me para comprovar pelo uso do seu IP os nicks que usou num determinado dia por saturação de outros comentadores e que são estes:
“desistindo” e “flor” e “DACL510”
Comprovei estes dados e de acordo com o histórico de mensagens do chat comprovo pelo IP que foram apenas estes os nicks usados.
Este espaço ainda é livre e não tenho intenções de banir comentadores ou entrar na brincadeira de alguns para fazer deste espaço um local de ataques pessoais.
Sejam o mais corretos possíveis no uso que fazem do chat e não façam ofensas pessoais a outros colegas. Afinal somos todos educadores!
Link permanente para este artigo: https://www.arlindovsky.net/2012/08/esclarecimento-necessario/
Ago 31 2012
Já Imagino a Que Horas Saem as Listas
Será entre as 18 e as 19 horas
Apenas um alerta para quem ficar colocado hoje.
Têm 48 horas, correspondentes aos dois primeiros dias úteis, para aceitarem a colocação (ou seja até 3ª feira às 23:59) e 72 horas para se apresentarem na escola (até 4ª feira em hora de expediente da secretaria)
NOTA: A aceitação é feita na aplicação da SIGRHE.
Os únicos que se têm de apresentar no 1º dia útil de Setembro na última escola onde prestaram funções são os docentes dos quadros sem componente letiva e que não ficaram colocados hoje.
Link permanente para este artigo: https://www.arlindovsky.net/2012/08/ja-imagino-a-que-horas-saem-as-listas/
Ago 31 2012
Soluções
… que já apontei em posts anteriores e que agora não tenho tempo para os procurar.
No SOL
Vítor Gaspar vai apresentar à troika um programa para acelerar as reformas estruturais e cortar mais na despesa do Estado. Rescisões por mútuo acordo na Educação, Saúde, Defesa e forças de segurança estão na agenda.
Link permanente para este artigo: https://www.arlindovsky.net/2012/08/solucoes/
Link permanente para este artigo: https://www.arlindovsky.net/2012/08/e-na-azevedo-neves/
Ago 31 2012
Manual de Apoio ao Docente Desempregado – 2012
Link permanente para este artigo: https://www.arlindovsky.net/2012/08/manual-de-apoio-ao-docente-desempregado-2012/
Ago 31 2012
A Previsão da Saída das Listas
…com os resultados da sondagem de ontem.
A votação nesta sondagem quase pareceu a da vitória do Iniesta do dia de ontem com uma escassa diferença de 2% do primeiro para os dois segundos em igualdade de votos.
Eu votei que as listas ainda sairiam de manhã, mais precisamente entre as 11 e as 13 horas. Vamos aguardar que assim seja e boa sorte para todos.
Só espero que não cometam a maldade de retirar as listas como no ano passado, mas se o fizerem tenho tudo preparado para as publicar de seguida. 😀
Link permanente para este artigo: https://www.arlindovsky.net/2012/08/a-previsao-da-saida-das-listas/
Ago 30 2012
Quadro de Contratações Para Amanhã
Para completar este quadro irei precisar da vossa ajuda para logo que seja conhecida a lista de colocados na Contratação Inicial colocar os dados relativos a 2012 comparando-os com 2011.
A metodologia para este trabalho é colocarem na caixa de comentários o grupo de recrutamento seguido do número de candidatos colocados na Contratação Inicial separando os horários completos e incompletos. Já tenho o ficheiro em excel preparado para calcular as diferenças com 2011 e logo que tenha este quadro completo publico-o em novo post.
Exemplo: Grupo 200 – 32 Completos – 16 Incompletos
Se conseguirem colocar o número de não colocados nesse grupo podem-no fazer à frente desses dados.
Link permanente para este artigo: https://www.arlindovsky.net/2012/08/quadro-de-contratacoes-para-amanha/
Ago 30 2012
Quadro de Renovações Para Amanhã
Para completar este quadro irei precisar da vossa ajuda para logo que seja conhecida a lista de Renovações colocar os dados relativos a 2012 comparando-os com 2011.
A metodologia para este trabalho é colocarem na caixa de comentários o grupo de recrutamento seguido do número de candidatos com renovação da colocação. Já tenho o ficheiro em excel preparado para calcular as diferenças com 2011 e logo que tenha este quadro completo publico-o em novo post.
Exemplo: Grupo 200 – 52 renovações
Link permanente para este artigo: https://www.arlindovsky.net/2012/08/quadro-de-renovacoes-para-amanha/
Ago 30 2012
Quadro de DACL para Amanhã
Para completar este quadro irei precisar da vossa ajuda para logo que seja conhecida a lista de DACL colocar os dados relativos a 2012 comparando-os com 2011.
A metodologia para este trabalho é colocarem na caixa de comentários o grupo de recrutamento seguido do número de colocados (em horário completo e incompleto) e não colocados nesse grupo. Já tenho o ficheiro em excel preparado para calcular as diferenças com 2011 e logo que tenha este quadro completo publico-o em novo post.
NOTA: Só me interessa a lista de mobilidade de colocados e não colocados na 1ª prioridade.
Exemplo: Grupo 200 – Completo (100) Incompleto (60) – Não colocados (76)
Link permanente para este artigo: https://www.arlindovsky.net/2012/08/quadro-de-dacl-para-amanha/
Ago 30 2012
Sondagem para as Listas
Apenas para desanuviar um pouco a tarde de hoje.
[polldaddy poll=6500154]
Link permanente para este artigo: https://www.arlindovsky.net/2012/08/sondagem-para-as-listas/
Link permanente para este artigo: https://www.arlindovsky.net/2012/08/outras-listas/
Link permanente para este artigo: https://www.arlindovsky.net/2012/08/listas-da-escola-dr-azevedo-neves/












