28 de Agosto de 2012 archive

“Fiscalização” da Inês de Castro

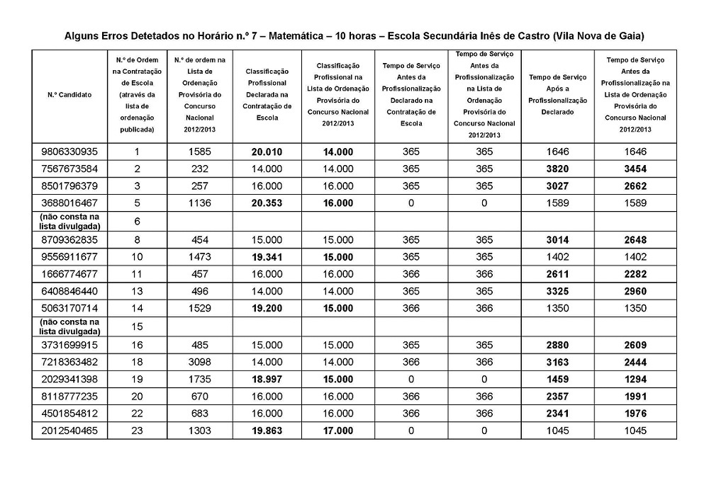
Porque os professores levam muito a sério esta fiscalização e precisam de reclamar escola a escola.

 

Seguem, em anexo, a análise às listas dos horários 10 e 11, de Biologia e Geologia, da Escola Secundária Inês de Castro. A análise foi efetuada em conjunto, por mim e pela colega Elisabete. Optámos por fazer apenas até ao número de ordem 200.

Cumprimentos,

Prof.ª (Desempregada) e Elisabete

 

Horário 10 – Grupo 520

Horário 11 – Grupo 520

 

Link permanente para este artigo: https://www.arlindovsky.net/2012/08/fiscalizacao-da-ines-de-castro/

Horários em Concurso (28 Agosto)

Ficheiro em pdf com todos os horários clicando na imagem.

Link permanente para este artigo: https://www.arlindovsky.net/2012/08/horarios-em-concurso-28-agosto/

Listas dos Açores

AQUI

Com 838 COLOCADOS.

Boa viagem a quem é do continente e ficou colocado.

Link permanente para este artigo: https://www.arlindovsky.net/2012/08/listas-dos-acores/

Esclarecimento do IEFP

Anda bem que este blogue não é considerado uma agência de notícias caso contrário teria de ser endereçado o esclarecimento à notícia divulgada aqui.

Esclarecimento do IEFP a uma noticia divulgada pela Antena 1 sobre uma oferta de emprego disponível no Portal NetEmprego

 

Face à noticia hoje divulgada através da RDP/Antena 1, o Instituto do Emprego e Formação Profissional, IP esclarece o seguinte:

A situação identificada é perfeitamente normal, enquadra-se nos procedimentos previstos e estipulados para as ofertas de emprego apresentadas com o propósito de as empresas formalizarem candidaturas à medida Estímulo 2012.

O lapso registado no procedimento foi apenas a evidência do nome da candidata desempregada apresentada pela entidade empregadora.

A oferta de emprego com o nº 587 847 025,  para a profissão de Educador de Infância (M/F), foi apresentada pelo Centro Social e  Paroquial Santa Maria (Tavira) ao abrigo da  Medida Estimulo 2012.

Neste contexto, e de acordo com o regulamento do IEFP desta Medida, divulgado no portal IEFP e no NetEmprego, a entidade empregadora apresentou a indicação de uma candidata para o preenchimento daquela oferta.

Os procedimentos para tratamento de ofertas que se destinam a ser apoiadas ao abrigo da Medida Estímulo 2012, preveem que:

  • A  entidade empregadora deve, em primeiro lugar, registar-se no portal Netemprego (www.netemprego.gov.pt), se ainda não estiver registada..
  • Seguidamente, deve registar uma oferta de emprego, exclusivamente, no portal Netemprego (www.netemprego.gov.pt), através da sua área pessoal, na opção Iniciar processo de candidatura, sinalizando a pretensão de beneficiar da Medida.
  • Após a validação da oferta de emprego pelo IEFP, caso a entidade empregadora não tenha identificado o desempregado a contratar, o centro de emprego apresenta-lhe desempregados em condições de elegibilidade, para que proceda à respetiva seleção e celebração do contrato de trabalho com o desempregado escolhido.
  • Caso a entidade empregadora tenha identificado o desempregado a contratar, o centro de emprego:
    a)  Se o mesmo reunir as condições legalmente previstas, apresenta o candidato para efeitos de celebração do respetivo contrato de trabalho;
    b) Se o mesmo não for elegível para a presente Medida, automaticamente o sistema envia um e-mail para a entidade, informando-a de que existe uma notificação na sua área pessoal do NetEmprego, a qual solicita que a mesma opte entre contratar o desempregado identificado, sem o apoio do Estímulo 2012, ou a apresentação, pelo centro de emprego, de desempregados em condições de elegibilidade, para que proceda à respetiva seleção e celebração do contrato de trabalho.

No caso vertente a entidade tinha identificado a pessoa desempregada a contratar pelo que procedeu à respetiva apresentação para a oferta em questão, decorrendo o processo de aferição relativamente à candidata apresentada de reunir os requisitos de elegibilidade da medida Estímulo 2012, razão pela qual a oferta de emprego permaneceu ativa no portal Net Emprego.

Não deveria ter sido evidenciado o nome da pessoa desempregada apresentada pela entidade empregadora, o que aconteceu por lapso.

 

Link permanente para este artigo: https://www.arlindovsky.net/2012/08/esclarecimento-do-iefp/

Alguns Subcritérios do Grupo 550

O que acho é que as escolas ainda não perceberam que de pouco lhes adiantará usar esses subscritérios caso o candidato pretendido esteja longe dos 5 primeiros.
Já disse que me vou rir do momento em que as escolas descobrirem isso. Até me consta que para situações desse género a DREC já anulou alguns concursos.

 

Sou um dos milhares de contratados que sofre nestes dias a angustia do resultado do sorteio, mas o nó no estômago é maior quando continuo a candidatar-me em concursos como o criado hoje pelo Instituto do Emprego, só que nos casos que vos envio em anexo, não colocam o nome da pessoa, mas muito perto disso.

Tenho a ideia, e posso estar errado, que escolher critérios como “Já ter lecionado no agrupamento” não seriam permitidos, se estiver certo e for merecedor de tal, divulguem nos vosso blogs, para que seja ainda mais público!

Ajudem-nos também a responder da melhor forma a este tipo de situações.

Nota: Estes casos que vos falo são todos do Grupo disciplinar 550. É possível que nessas mesmas escolas haja mais situações noutros grupos de recrutamento.

Grato pela atenção, PA

Link permanente para este artigo: https://www.arlindovsky.net/2012/08/alguns-subcriterios-do-grupo-550/

Na RTP1?

Cheira-me a qualquer retaliação.

Site do Instituto de Emprego e Formação Profissional publica anúncio de emprego com candidato já escolhido

 

 

Trata-se de uma oferta de emprego para educador de infância na zona de Tavira, o salário ronda os 800 euros e o candidato devia estar inscrito como desempregado há mais de seis meses no Centro de Emprego, o estranho neste anúncio é que em letras maiúsculas surgia a indicação: “Só admitir a Vera Pereira”.

Link permanente para este artigo: https://www.arlindovsky.net/2012/08/na-rtp1/

Uma Necessária Clarificação

…sobre as listas de Souselo e sobre as possíveis alterações do tempo de serviço dos candidatos nas listas das ofertas de escola com as listas de ordenação provisórias.

Tudo isto porque o dia 1 de Setembro está à porta e por isso alguns pormenores podem ficar esquecidos.

 

Verifiquei que no dia 27 de agosto publicou um e-mail enviado ao AE de Souselo por um colega que coloca diversos outros em cheque, sem realmente ter conhecimento da veracidade dos dados. Não conheço os colegas em questão, mas considero que se esqueceram de algo importante… Decreto-Lei 132/2012 de 27 de Junho (novo diploma que regula os concursos para seleção e recrutamento do pessoal docente da educação pré-escolar e dos ensinos básico e secundário) neste está referido no artigo 11º, ponto 2 “Para efeitos de graduação de docentes, considera-se tempo de serviço o prestado como educador de infância ou professor dos ensinos básico e secundário, sem prejuízo do disposto no artigo 39.º do ECD, bem como o tempo de serviço prestado no ensino superior público, independentemente do ciclo ou nível de ensino a que se pretenda aceder.” Ora, os colegas que estão a ser acusados de irem “contra a lei” poderão estar a colocar o tempo de serviço que na abertura do concurso não lhes foi possível ser considerado por ainda ser regido pelo anterior Decreto-Lei. Lamento que não tenha sido salvaguardado o nome completo dos colegas, pois não gostaria de ver o meu nome nesta situação.

 

Com os melhores cumprimentos,

 

Susana A

 

Link permanente para este artigo: https://www.arlindovsky.net/2012/08/uma-necessaria-clarificacao/

Post Para As Listas de Hoje

Podem colocar os links na caixa de comentários das listas ordenadas das ofertas de escola que forem divulgadas hoje.

É que começa a ser muito giro analisar essas listas.

Link permanente para este artigo: https://www.arlindovsky.net/2012/08/post-para-as-listas-de-hoje/

WP2Social Auto Publish Powered By : XYZScripts.com
Seguir

Recebe os novos artigos no teu email

Junta-te a outros seguidores: