Documento para analisar
Link permanente para este artigo: https://www.arlindovsky.net/2012/05/matrizes-curriculares-dos-ensinos-basico-e-secundario/
Mai 25 2012
Quadro a ser elaborado com os seguintes dados:
Número de docentes com 10 ou mais anos de serviço por grupo de recrutamento, distribuídos pela prioridade a que concorrem
Número de docentes com tempo de serviço entre 5 e 9 anos, por grupo de recrutamento e distribuídos pela prioridade a que concorrem.
LISTA DE ORDENAÇÃO PROVISÓRIA (EXCEL) Já preparada com uma nova coluna com o número de anos de serviço de cada candidato e retificada.
Para completarem os dados deste quadro basta copiarem as células de um dos grupos já concluídos (até ao 260) para os grupos que faltam (a partir do 300) e filtrar os resultados.
ADENDA: Quadro completo neste post
Link permanente para este artigo: https://www.arlindovsky.net/2012/05/numero-de-docentes-com-mais-de-10-anos-de-servico/
Mai 25 2012
…com transferência de participação visto que no último mês dei por terminado os 10 anos de dedicação ao MAP aqui, aqui, aqui e aqui e em muitos outros sítios que não se encontram documentados.
Foram 10 anos em que foi possível conhecer bons amigos que ficarão para sempre na memória e com muitas histórias pessoais guardadas, apesar de que esta história pessoal retirou muitas vezes o tempo ao papel principal de Pai.

Link permanente para este artigo: https://www.arlindovsky.net/2012/05/agenda-da-tarde/
Mai 24 2012
A quem possa interessar
A Escola de Segunda Oportunidade de Matosinhos procura professores candidatos a destacamento no processo de mobilidade de docentes para o ano escolar 2012-2013 ao abrigo do artigo 68.º do ECD (destacamento), nas áreas de
– Português/Inglês,
– Matemática/Ciências,
– TIC
– Educação Musical.
Procuramos professores identificados com a missão e o projecto da escola (http://www.segundaoportunidade.com/) dispostos a dar o seu contributo no desenvolvimento de processos criativos de intervenção socio-educativa com um forte perfil adaptativo e a capacidade de se envolver em processos de formação e de mudança.
Os interessados (professores dos quadros de escola ou de zona pedagógica) devem contactar a escola até ao próximo dia 28 de Maio às 12h.
Agradecemos que reenviem este pedido a todos os V. contactos que possam estar interessados
Muito obrigado!
Luis Mesquita
AE2O / Associação para a Educação de Segunda Oportunidade
Largo da Capela do Telheiro
4465-053 S. Mamede Infesta
Portugal
Tel.: 00351 22 906 45 38
Fax.: 00351 22 906 45 40
E-mail: [email protected]
Website: www.segundaoportunidade.com
– Entidade Certificada pela DGERT –
Link permanente para este artigo: https://www.arlindovsky.net/2012/05/oportunidades-mobilidade/
Mai 24 2012
Por muitas voltas que se dê o regresso às políticas de MLR estão aí.
Quando MLR quis valorizar os professores, entregou-lhes um prémio e destruí-os, agora Nuno Crato quer valorizar as escolas, entrega-lhes um prémio e o mais certo é destruí-las também.
MINISTÉRIO DA EDUCAÇÃO E CIÊNCIA APRESENTOU O PRÉMIO DE ESCOLAO Ministério da Educação e Ciência apresentou hoje o Prémio de Escola. Esta distinção visa reconhecer a excelência dos estabelecimentos de ensino e dos envolvidos no processo educativo, do pré-escolar ao secundário.Será distinguida uma escola em cada uma das cinco áreas geográficas do mapa educativo – Norte, Centro, Lisboa e Vale do Tejo, Alentejo e Algarve. Reconhecerá também, com um Diploma de Louvor, um membro de cada comunidade educativa vencedora, escolhido por esta pelo seu empenho no sucesso do projeto.O Prémio de Escola terá uma atribuição anual. As candidaturas devem ser submetidas entre o dia 1 de Outubro e o último dia do primeiro período letivo de cada ano, através de uma página do site da Secretaria Geral do Ministério da Educação e Ciência criada para o efeito. Serão avaliados o sucesso dos alunos, a diminuição do insucesso escolar e do abandono precoce, a formação de professores, a colaboração com a comunidade educativa e a participação ativa dos encarregados de educação, entre outros fatores.O júri será designado anualmente por despacho do Ministério da Educação e Ciência e incluirá uma individualidade de reconhecido mérito na área da educação, designada pelo MEC, que o preside. Neste primeiro ano, será o Professor Guilherme d’Oliveira Martins.Integram ainda o júri um diretor de agrupamento de escolas ou escola não agrupada por cada área geográfica do continente, indicado pelo Conselho das Escolas; dois representantes das Associações de Escolas do Ensino Particular e Cooperativo; dois representantes de Associações de Pais e Encarregados de Educação de âmbito nacional; um representante por cada região, indicado pela Associação Nacional de Municípios.Os Prémios serão atribuídos em cerimónia pública em data a definir.
Link permanente para este artigo: https://www.arlindovsky.net/2012/05/voltamos-ao-mesmo/
Mai 24 2012
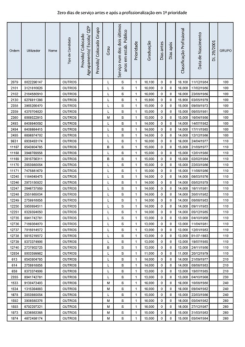
… com zero dias de serviço antes e após a profissionalização e que se encontram na 1ª prioridade.
É possível que existam explicações legais, eu sei, embora tenha dúvidas que a totalidade possa ser por esse motivo.
Link permanente para este artigo: https://www.arlindovsky.net/2012/05/nao-sao-muitos-mas-ainda-assim-sao-80/
Mai 24 2012
É o que Nuno Crato está a anunciar em direto no final da reunião do Conselho de Ministros.
Desenvolvimento da notícia aqui
Link permanente para este artigo: https://www.arlindovsky.net/2012/05/aprovado-hoje-o-modelo-de-gestao/
Mai 24 2012
Eis a circular nº B12019604Z que solicita a atualização dos dados dos docentes até ao dia 8 de Junho de 2012.
Link permanente para este artigo: https://www.arlindovsky.net/2012/05/circular-no-b12019604z/
Link permanente para este artigo: https://www.arlindovsky.net/2012/05/ave-cesar/
Link permanente para este artigo: https://www.arlindovsky.net/2012/05/listas-de-ordenacao-provisorias-excel/
Mai 23 2012
Já chegou uma circular às escolas com instruções para preenchimento de dados para se fazerem as actualizações na plataforma sobre cálculo de atribuição de créditos horários a atribuir aos agrupamentos de escolas e às escolas não agrupadas (AE/ENA) para o próximo ano lectivo 2012/2013 até dia 08 de Junho. Com esta circular e com a confirmação do “Megaagrupamento – AELajeosa + AETondela + Molelos” foi num ápice o que se viu na escola, a ansiedade a tomar conta dos professores fazendo contas ao total de professores do Mega agrupamento em que estão inseridos, em cada disciplina, para tentar saber o ponto da sua situação. O que se viu foi ansiedade a ultrapassar os limites começando o sofrimento por antecipação, e sabendo-se os resultados negativos que estas situações acumulam. Este é um país de loucos, dizia um, ao fim de 25 anos de serviço e depois de ter andado com a casa às costas durante uns anos até estabilizar, parece que vou ter que voltar novamente ao mesmo, com a sacola aos ombros para arranjar trabalho. Algumas lágrimas notam-se ao canto do olho dos vários professores ali presentes. E não é para menos. As coisas complicam-se mesmo para aqueles que julgavam que sendo do quadro das escolas estavam estabilizados.
E os professores contratados, muitos até com bastantes anos de serviço, a ansiedade que irá neles, sabendo-se que estes é que não tem qualquer hipótese de colocação.
…
Link permanente para este artigo: https://www.arlindovsky.net/2012/05/blogosfera-arte-por-um-canudo-2-2/
Mai 23 2012
Entre o dia de hoje e o dia 29 está aberta a aplicação para os docentes aceitarem a proposta de mobilidade conforme consta neste manual de instruções.
A formulação do pedido de mobilidade pela entidade pode ser feita até ao dia 28 de Maio de acordo com este manual de instruções.
Gostei destes manuais com setinhas, fazem-me lembrar algo. 😀
Link permanente para este artigo: https://www.arlindovsky.net/2012/05/mobilidade-aceitacao-da-proposta-docentes/
Mai 23 2012
Redução da dispersão curricular, melhoria do acompanhamento dos alunos e aumento da autonomia das escolas são os três grandes objetivos a alcançar.
…
Link permanente para este artigo: https://www.arlindovsky.net/2012/05/magazine-educacao-tema-de-capa/
Mai 23 2012
AO SECRETÁRIO DE ESTADO DA ADMINISTRAÇÃO PÚBLICA, C/C AO MINISTRO DA EDUCAÇÃO E CIÊNCIA
Para:Todos os Professores e Cidadãos de Portugal.
AO SECRETÁRIO DE ESTADO DA ADMINISTRAÇÃO PÚBLICA, C/C AO MINISTRO DA EDUCAÇÃO E CIÊNCIA
Em 16 de dezembro de 2011, a Assembleia da República, através da resolução nº 4/2012, recomendou ao governo da república portuguesa a promoção da estabilidade e a qualificação do corpo docente nas escolas, procedendo “ao levantamento exaustivo e rigoroso das necessidades permanentes dos recursos docentes do sistema educativo”.
Nesse âmbito e estando simultaneamente conscientes do impacto negativo que a ausência de estabilidade do corpo docente tem sobre a qualidade do processo educativo dos alunos a cada ano letivo, os signatários abaixo indicados vêm requerer a Vª Exa, ao abrigo dos princípios da legalidade, da justiça e da imparcialidade para com as demais carreiras especiais da administração pública, revistas em conformidade com o art.º 101 da lei 12-A de 27 de fevereiro, que sejam definidas nos termos do nº 3 daquele artigo, para o estatuto da carreira dos educadores de infância e professores dos ensinos básico e secundário, regras de transição de vínculos para os docentes adequadamente qualificados e que atualmente se encontrem a assegurar necessidades permanentes das escolas. Com base nisso, aqueles signatários vêm designadamente requerer:
1. Que os docentes que se encontrem a assegurar necessidades permanentes, em postos de trabalho docente, que tenham ficado vagos por situação de aposentação e que cumulativamente sejam detentores de habilitação profissional para a docência, e de adequada experiência profissional, possam transitar em conformidade com a natureza das suas funções, para a modalidade de nomeação definitiva, em período experimental;
2. Que os docentes detentores de habilitação profissional para a docência e de adequada experiência profissional, que se encontrem a assegurar necessidades permanentes em regime de substituição com duração igual ou superior a 6 meses, em postos de trabalhos face aos quais não seja determinável o regresso do trabalhador docente, possam não ficar sujeitos à cessação do contrato no final de cada ano letivo, sendo os seus contratos após aquele tempo automaticamente convertidos em contratos por tempo incerto, com condições de resolução estabelecidas ao termo da necessidade de substituição;
3. Que unicamente os docentes sendo ou não detentores de habilitação profissional para a docência, que se encontrem a assegurar ou necessidades temporárias das escolas, ou a assegurar necessidades permanentes em regime de substituição por tempo inferior a 6 meses, possam manter nos termos da transição de vínculos, relações jurídicas de emprego público sob a forma de contratos a termo resolutivo com duração às respetivas atividades temporárias. Que unicamente os docentes sendo ou não detentores de habilitação profissional para a docência, que se encontrem a assegurar ou necessidades temporárias das escolas, ou a assegurar necessidades permanentes em regime de substituição por tempo inferior a 6 meses, possam manter nos termos da transição de vínculos, relações jurídicas de emprego público sob a forma de contratos a termo resolutivo com duração às respetivas atividades temporárias.
Os signatários,
Carla Alexandra Carvalho Araújo
Hélia Maria Pinheiro de Barata da Cruz
Os signatários
Link permanente para este artigo: https://www.arlindovsky.net/2012/05/peticao-pela-estabilidade-e-qualificacao-do-corpo-docente/
Mai 23 2012
“Não é por acaso que o próprio ministério nos pediu, já, que indiquemos quantos professores ficarão sem componente lectiva no próximo ano. E é sintomático que, por mais que o desejemos, não saibamos responder“, critica.
Parece incrível que no final de Maio ainda não se conheça o currículo para o próximo dia 1 de Setembro e que o MEC necessite já de números de docentes que se encontrarão em ausência da componente letiva.
Não se prevê um arranque pacífico do próximo ano letivo.
Se este atraso na organização do ano letivo 2012/2013 é mau para o funcionamento do próximo ano, não é menos mau que muitos professores comecem o dia 1 de Setembro com novas disciplinas sem que se conheça qualquer orientação programática para essas disciplinas.
Link permanente para este artigo: https://www.arlindovsky.net/2012/05/mega-ansiedade/
Mai 23 2012
Manual NiuAleph12
Este Manual Escolar inclui uma versão PDF online e uma versão de papel. A versão PDF é distribuída gratuitamente a todos os estudantes, pais e professores. Esta versão poderá somente ser consultada online e/ou descarregada, mas não impressa.
Está agora disponível para ser descarregada a versão 1 do volume 1 do Manual Escolar. Clique em Volume 1 para descarregar o ficheiro (10 MB).
Brevemente serão colocadas nesta página as instruções necessárias à aquisição da versão de papel que será feita exclusivamente aqui.
O Kit-Tec 12, manual de apoio ao uso de calculadoras gráficas e software, será disponibilizado gratuitamente nesta página.
O Manual do Professor será distribuído gratuitamente aos professores das escolas onde o Manual Escolar for adotado. Conterá a resolução de todas as tarefas e exercícios do Manual e alguns textos complementares e terá apenas versão digital personalizada.
Link permanente para este artigo: https://www.arlindovsky.net/2012/05/cuidem-se-as-editoras/
Link permanente para este artigo: https://www.arlindovsky.net/2012/05/lista-do-110-em-excel/
Link permanente para este artigo: https://www.arlindovsky.net/2012/05/listas-em-excel-pedido-de-ajuda/
Mai 22 2012
… implementar a prova de ingresso aos professores do ensino superior e aos Pedagogos do Ministério da Educação.
A professora Maria do Carmo Vieira acusa as Escolas Superiores de Educação de dominarem o Ministério. A docente do ensino secundário diz que os «professores saem dessas escolas sem saber nada».
Maria do Carmo Vieira dá um exemplo para ilustrar a polémica afirmação: «professores que iam para 1º ciclo não sabiam regras gramaticais básicas».
No programa «Olhos nos Olhos» da TVI24, a professora defendeu que os professores das Escolas Superiores de Educação deviam ser avaliados e acusa estas instituições de «dominarem o ministério da educação».
Maria do Carmo Vieira critica a maneira como se ensina nas escolas: «ensina-se Fernando Pessoa, Eça de Queiróz, Cesário Verde em Powerpoint». A docente exemplifica com um exemplo das consequências nos alunos «tenho alunos que no 12º ano, 11º, 10º, 8º não sabiam ler».
ADENDA: O programa completo de 21 de Maio já encontra disponível neste link
Link permanente para este artigo: https://www.arlindovsky.net/2012/05/uma-grande-ajuda-para-nuno-crato/
Link permanente para este artigo: https://www.arlindovsky.net/2012/05/listas-de-ordenacao-provisorias-em-excel/
Mai 21 2012
JORNADA DE LUTA PELA EDUCAÇÃO ARTÍSTICA
Caros Colegas,
Os professores do Departamento de Expressões da Escola EB 2,3 de Santo António (Agrupamento de Escolas da Sé – Faro) desenvolveram hoje, dia 21 de maio (segunda feira), uma dia de LUTA PELA EDUCAÇÃO ARTÍSTICA.
EVT, EM, ET e EV juntos pela mesma causa!
Foi um protesto simbólico (professores vestidos de negro e cartazes com chamadas de atenção no átrio de entrada, na sala de professores e junto a cada uma das salas específicas), que teve por objetivo sensibilizar toda a comunidade educativa para a INJUSTIÇA do processo relativo à reorganização da estrutura curricular.
Posso informar que correu muito bem e que o objetivo principal foi conseguido!
Devo destacar também que tivemos a solidariedade de muitos professores de outros departamentos e pessoal não docente que responderam positivamente ao nosso apelo e hoje vestiram uma camisola de cor Preta.
O nosso Agradecimento especial para todos eles!
O que acham, poderíamos em conjunto com as várias associações, agendar um dia antes do final do ano letivo e fazermos um protesto a nível nacional. Poderia ter algum impacto! O que acham? Fico a aguardar as vossas sugestões!
NÃO PODEMOS PARAR!
Saudações Tecnológicas,
Marília Martins
(Professora Contratada de ET)
Link permanente para este artigo: https://www.arlindovsky.net/2012/05/em-luta-pela-educacao-artistica-faro/
Mai 21 2012
Desde as 10 horas em ponto do dia de hoje até às 18 horas do dia 25 de Maio está aberto o período de reclamações das listas provisórias na aplicação da DGAE.
Nesta fase é possível corrigir dados / reclamar da validação / desistir total ou parcialmente da candidatura ou efectuar denúncia.
Na ausência nesta altura do manual de reclamações deixo apenas a nota informativa de 18 de Maio.
A aplicação da reclamação eletrónica dispõe de quatro opções, podendo os candidatos selecionar uma ou mais de entre as seguintes:
a) Reclamar/corrigir dados da candidatura/desistência parcial da candidatura;
b) Reclamar da validação efetuada pela entidade de validação;
c) Denúncia;
ou desistir do concurso, selecionando a opção:
d) Desistência total da candidatura.As alterações aos dados introduzidos na candidatura ou no aperfeiçoamento são exclusivamente feitas pelo candidato no respetivo campo, após seleção da opção correta: Reclamar/corrigir dados da candidatura/desistência parcial da candidatura. Não serão considerados quaisquer pedidos de alteração de dados formalizados em texto livre nas outras opções da reclamação eletrónica.
Alertam-se os candidatos para a necessidade de apresentar reclamação de qualquer campo que tenha sido, por lapso, indevidamente validado pela entidade de validação (Agrupamento de Escolas/Escola não Agrupada/DGAE). As candidaturas com campos incorretamente validados, que impliquem a invalidação das mesmas, e que não tenham sido objeto de reclamação, serão excluídas da lista definitiva.Aconselha-se a consulta do manual de instruções, disponível na página da DGAE em: Docentes>Concursos>Concurso de Docentes> 2012>Documentação> Manual da Reclamação – Contratação.
A não apresentação de reclamação, nos termos do n.º 4 do artigo 18.º do Decreto-Lei n.º 20/2006, com a redação dada pelo Decreto-Lei n.º 51/2009, equivale à aceitação de todos os elementos.
Vai estar disponível na página da DGAE a aplicação informática e-concurso, destinada ao esclarecimento, por escrito, das dúvidas dos candidatos e das escolas. Estará disponível nos dias úteis das 10:00 às 18:00 horas de Portugal Continental:
a) Para os candidatos, na fase da reclamação, de 21 a 25 de maio de 2012 (os candidatos podem, apenas, colocar uma questão a cada 24 horas);
b) Para as escolas, na fase da validação da reclamação, de 28 a 30 de maio de 2012.
ADENDA: Como a aplicação da reclamação anda aos soluços e tanto vai como vem ainda não é possível proceder a esta fase do concurso, por isso aguardem pela oficialização da abertura do período de reclamações.
ADENDA (13:00) – Já está disponível o manual da reclamação no site da DGAE e aplicação da reclamação já funciona a 100%
NOTA IMPORTANTE: Chamo a atenção para a dificuldade desta aplicação e por isso devem ler bem o manual da reclamação e para uma coisa importante: a reclamação só fica submetida depois de inserirem a palavra chave. Se por algum motivo pensam que submeteram a reclamação e não colocaram a palavra-chave é porque não chegaram a concluir o processo.
Link permanente para este artigo: https://www.arlindovsky.net/2012/05/aberto-o-periodo-de-reclamacoes/
Mai 20 2012
Ainda não tive tempo para analisar o número de casos destes nas listas provisórias, no entanto chamo a atenção para o seguinte:
No aviso de abertura do concurso
7 — Para efeitos do disposto na supra mencionada alínea a) do n.º 3 do artigo 13.º, são consideradas as funções docentes prestadas nos seguintes estabelecimentos de educação ou de ensino:
a) Os integrados na rede de estabelecimentos públicos de educação pré-escolar e do ensino básico e secundário do Ministério da Educação e Ciência e das Regiões Autónomas;
b) As escolas profissionais públicas e os estabelecimentos de ensino superior público, independentemente do título jurídico da relação de trabalho;
c) Os estabelecimentos e instituições de ensino, dependentes ou sob tutela de outros ministérios com paralelismo pedagógico;
d) Os estabelecimentos ou instituições de ensino português no estrangeiro, incluindo ainda o exercício de funções docentes como agentes da cooperação portuguesa, nos termos do correspondente estatuto jurídico.
2. Ensino Superior
O tempo de serviço exercido no ensino superior, até 31.08.2008, releva, apenas, para efeitos de concursos do pessoal docente da educação pré-escolar e dos ensinos básico e secundário, conforme o n.º 2 art. 6.º “Disposição Transitória” do Decreto-Lei n.º 51/2009, de 27 de Fevereiro. Com efeito, a nova redacção dada ao artigo 14.º do Decreto-Lei n.º 20/2006, pelo Decreto-Lei n.º 51/2009, exclui das regras da graduação o referido tempo de serviço, a partir de 01.09.2008.
Assim, é possível haver candidatos em 1ª prioridade sem qualquer tempo de serviço.
Link permanente para este artigo: https://www.arlindovsky.net/2012/05/os-zero-dias-de-servico-e-a-1a-prioridade/
Mai 20 2012
No plural, porque pela fotografia Durão Barroso devia estar a apoiar o Bayern.

É a vida cara Merkel, quando menos se espera as derrotas surgem.
Virão outras.
Link permanente para este artigo: https://www.arlindovsky.net/2012/05/embrulhem/
Mai 20 2012
Porque não é fácil um blog sobre educação bater-se com blogs de análise política e os blogs coletivos da nossa praça, deixo um enorme agradecimento a todos.
Quem sabe se não é possível começar a exigir uma comesaina blogosférica com o Ministro Nuno Crato para demonstrar muitos dos erros que estão a ser cometidos na educação e em especial com os professores contratados.
Link permanente para este artigo: https://www.arlindovsky.net/2012/05/numeros-do-blog/
Mai 20 2012
É notícia de 1ª página de hoje do JN as novas prioridades no financiamento dos cursos profissionais.
Os cursos profissionais que são financiados por fundos comunitários irão ver reorientadas as prioridades e verão reduzidos os financiamentos os cursos que não se enquadrem nas lista de cursos profissionais a ser divulgada ainda esta semana. A aposta na caça, pesca e agricultura serão privilegiadas relativamente aos cursos das novas tecnologias e informação.
Ficamos também a saber que as turmas dos cursos profissionais, EFA e CEF, terão de ter 26 a 30 alunos e o ensino recorrente requer um mínimo de 30, devendo a turma ser extinta e agregada noutra se baixar dos 25 alunos.
Os alunos dos PALOP que se inscrevem neste cursos contam para a constituição de turmas, mas as escolas deixarão de receber financiamento por eles, por não serem cidadãos comunitários.
ADENDA: A notícia do JN referia que os cursos Profissionais, EFA e CEF teriam entre 26 a 30 alunos, mas de acordo com o documento do MEC que recebi esta tarde com as ORIENTAÇÕES PARA A CONSTITUIÇÃO DA REDE DE OFERTAS FORMATIVAS, os CEF terão entre 20 a 25 alunos, podendo-se desdobrar em dois grupos nas disciplinas das componentes técnicas e os EFA de dupla certificação terão entre 26 e 30 alunos, podendo ser desdobradas em dois grupos nas disciplinas da componente tecnológica e as turmas para formações modulares deverão ter um mínimo de 20 alunos. Parece que não, mas já faz uma grande diferença.
Link permanente para este artigo: https://www.arlindovsky.net/2012/05/revisao-do-ensino-profissional/
Mai 20 2012
Dizem que não deu muito resultado o primeiro dia na bolsa e que o investimento não foi o esperado.
Mas Mark Zuckerbeck tinha outra coisa preparada para o day after.
Link permanente para este artigo: https://www.arlindovsky.net/2012/05/facebook/
Mai 19 2012
…que se prolongará para a noite, para descanso do pessoal.
Duetos brilhantes, numa tarde romântica.
Link permanente para este artigo: https://www.arlindovsky.net/2012/05/musica-da-tarde-2/
Mai 19 2012
O meu nome é Roberto Cortez e sou coordenador do projecto Webnode EDU para Portugal.
Neste mês de Maio, estive em Portugal num encontro nacional de professores promovido pela APECV a palestrar e a fazer um workshop sobre a plataforma e também numa escola em Guimarães a fazer um workshop, com professores, sobre a plataforma.
O entusiasmo foi tanto e a plataforma foi bem recebida de tal forma, que temos já agendados workshops online para professores do distrito de Santarém (pois trabalho na Rep.Checa).
Esta plataforma já é utilizada em outros países, como Rep.Checa, Espanha, Brasil e Eslováquia, onde existe uma adesão enorme. Em Portugal estamos a dar os primeiros passos e em pré-registos (apenas os professores dos Workshops e outros que me solicitam por e-mail, têm acesso à plataforma ainda).
Importa também enaltecer que é 100% gratuita e muito simples!
Com esta comunicação, gostaria de saber a sua disponibilidade em ajudar na divulgação da plataforma.
Para informações adicionais, em anexo envio um PDF utilizado nos Workshops.
Com os melhores cumprimentos,
Roberto Cortez
Coordenador do projecto Webnode EDU Portugal
Para mais informações contactar:
Roberto Cortez: [email protected]
Mais informações, também poderão ser encontradas no site da plataforma. http://edu.webnode.pt/
Como neste momento ainda estamos em fase de pré-registos para Portugal, ainda existem pequenos detalhes que estamos a tratar.
Um deles é o domínio .pt nos projectos dos alunos. Neste momento, os professores deverão primeiro criar uma conta no Webnode normal www.webnode.pt , criar um site (que não precisam de utilizar e é gratuito) e depois o sistema já associará o seu e-mail ao domínio .pt e já podem registar com o mesmo e-mail no EDU e com domínio PT. De outra forma, se registarem diretamente no EDU, o sistema vai atribuir o domínio .COM.BR. É um problema que encontramos na conferência em Santarém, mas que estamos a tratar dele. É apenas uma pequena nota que poderá ser importante alertar aos professores que pretendam depois trabalhar com os seus alunos no domínio .PT.
Link permanente para este artigo: https://www.arlindovsky.net/2012/05/ferramentas-educativas-webnode/
Mai 18 2012
Exm.º(a) Senhor(a)
Representante de Entidade Proponente
O Estatuto da Carreira dos Educadores de Infância e dos Professores dos Ensinos Básico e Secundário, aprovado pelo Decreto-Lei nº 139-A/90, de 28 de abril, com a última redação dada pelos Decretos-leis nºs 75/2010, de 23 de junho, e 41/2012, de 21 de fevereiro, adiante designado por ECD, consagra no artigo 64.º as várias formas de mobilidade, sendo a requisição e o destacamento duas dessas figuras, previstas, respetivamente, nos artigos 67.º e 68.º do ECD.
Nos termos do n.º1 do artigo 69.º do ECD, os docentes podem ser requisitados ou destacados por um ano escolar, eventualmente prorrogáveis até ao limite de quatro anos escolares, incluindo o 1.º.
Mais se informa que o procedimento de mobilidade de docentes para o ano escolar 2012-2013 irá ser desenvolvido através de uma aplicação eletrónica da Direção-Geral da Administração Escolar, designada “Sistema Integrado de Gestão de Recursos Humanos da Educação (SIGRHE)”, disponibilizada no respetivo portal, acompanhada de documentação de suporte.
O desenvolvimento do processo de mobilidade, irá decorrer de acordo com o seguinte cronograma:
– Registo prévio / inscrição das entidades proponentes => de 21 a 28 de maio;
– Formulação do pedido de mobilidade pela entidade proponente => de 22 a 28 de maio;
– Aceitação do pedido de mobilidade pelo docente => de 23 a 29 de maio;
– Validação do pedido de mobilidade pela escola de provimento do docente => de 30 de maio a 4 de junho.
Os agrupamentos de escolas e escolas não agrupadas do MEC, não carecem de efetuar o referido registo prévio.
A atual conjuntura económico-financeira do país requer uma gestão mais exigente dos pedidos de mobilidade de pessoal docente de carreira, ao abrigo do artigo 68.º do ECD (destacamento), apresentados pelas entidades proponentes. Os pedidos apresentados por todas as entidades proponentes devem corresponder a necessidades imperiosas e inadiáveis de prestação serviço docente.
Com os melhores cumprimentos,
Mário Agostinho Alves Pereira
Diretor-Geral da Administração Escolar
Link permanente para este artigo: https://www.arlindovsky.net/2012/05/mobilidade-de-pessoal-docente-20122013/
Mai 18 2012
…da primeira fase, mas…
… “a conclusão da segunda fase será divulgada muito em breve, de modo a assegurar a preparação atempada e tranquila do ano letivo de 2012/2013“.
Deve ser para mostrar serviço às reuniões da Troika da próxima semana.
Link permanente para este artigo: https://www.arlindovsky.net/2012/05/lista-de-agregacoes/
Mai 18 2012
Ministro da Educação garante que é conhecida hoje a constituição dos agrupamentos tanto nas escolas básicas como nas secundárias. Ainda assim, o Nuno Crato reconhece que há problemas pontuais que precisam ser resolvidos.
O governante disse que processo está praticamente concluído, garantindo que a maioria dos intervenientes, entre autarquias e escolas, está de acordo com a solução que vai ser apresentada
Reconhece problemas pontuais, que devem ficar resolvidos em breve, na sequência de novas reuniões que se juntam às cerca de quatro centenas que já foram realizadas por todo o país. “Dessas reuniões resultaram de uma série de quase consensos – a maioria dos intervenientes está de acordo com uma solução que vai ser apresentada hoje”, disse à margem de um seminário sobre “Desafios e oportunidades do sistema educativo”, em Lisboa.
Nuno Crato assegurou ainda que cada agrupamento terá cerca de três mil alunos.
Lista em EXCEL publicada no site do MEC das novas agregações
Hoje também foi conhecido o Relatório sobre as Novas Oportunidades.
Link permanente para este artigo: https://www.arlindovsky.net/2012/05/novos-agrupamentos-escolares-conhecidos-hoje/
Mai 18 2012
Ao contrário do que seria de supôr neste quadro verifica-se uma diminuição do número de candidatos na 2ª prioridade.
O receio de que todos os professores do ensino particular com contrato de associação pudessem concorrer de forma a conseguirem a 1ª prioridade no concurso 2013/2014 não se verificou.
O grupo que mais cresceu em número de candidaturas foi o grupo 910, mesmo assim não cresceu tanto como se previa, havia algumas previsões de que este grupo iria duplicar este ano..
Os grupos que apresentam uma grande diferença relativamente ao ano anterior são os grupos de Educação Física (260 e 620).
Tentarei ainda hoje fazer uma comparação com o ano passado ao número de candidatos excluídos.
De segunda a sexta feira da próxima semana decorre o período de reclamações.
Link permanente para este artigo: https://www.arlindovsky.net/2012/05/publicadas-as-listas-provisorias/
Mai 18 2012
Já preparei o quadro comparativo das listas provisórias deste ano com as mesmas listas do ano passado.
Logo que sejam conhecidas as listas deste ano farei a comparação dos números por grupo de recrutamento conforme o quadro em baixo. Com exceção do grupo do pré-escolar (100) todos os restantes grupos têm elevados níveis de professores que se encontram na 1ª prioridade.
Nas listas provisórias do ano passado existiram 66268 candidaturas admitidas nesta fase das quais 51817 encontravam-se com a 1ª prioridade. A média dos docentes que se encontravam em primeira prioridade em 2011/2012 era de 78%.
Logo que sejam conhecidas as listas agradecia que colocassem na caixa de comentários deste post o número de docentes por grupo de recrutamento incluídos nas listas de admissão e o número de docentes que estão na 1ª prioridades nessa mesma lista. Os restantes números escusam de colocar que o ficheiro em Excel já está preparado o cálculo final.
Logo que esteja terminado o trabalho comparativo coloco-o em novo post.
Link permanente para este artigo: https://www.arlindovsky.net/2012/05/dados-relativos-as-listas-provisorias-do-ano-passado/
Link permanente para este artigo: https://www.arlindovsky.net/2012/05/publicadas-hoje-as-listas-provisorias/
Mai 17 2012
Nos primeiros três meses do ano os incêndios consumiram quatro vezes mais floresta do que no ano passado. Os meios de combate são essenciais. Os alunos do agrupamento de escolas de São Gonçalo, em Torres Vedras, inventaram mais um. É um robot que vai ser apresentado num campeonato mundial de robótica, no México, onde estes alunos já obtiveram vários prémios.
Link permanente para este artigo: https://www.arlindovsky.net/2012/05/post-dedicado-ao-mec-e-a-maria-jose-castelo-branco/
Mai 17 2012
Entre o dia de hoje até ao dia 23 de Maio está aberta a candidatura e upload de documentos para a mobilidade por doença.
Como não consigo confirmar a abertura dessa candidatura e não surge nenhuma informação no site da DGAE deixo na mesma aqui o aviso para esta fase.
A nota informativa ainda se mantém com as mesmas datas.
Na aplicação ainda se encontram dois documentos que ainda não fiz referência nos post anteriores e que são necessários para esta fase de candidatura.
Após o preenchimento de todos os campos e de anexados todos os documentos necessários à validação do pedido de mobilidade por doença, devem os docentes SUBMETER a sua candidatura inserindo novamente a palavra-chave.
Os candidatos devem, preferencialmente, aceder às aplicações eletrónicas durante os dias úteis disponíveis para o efeito e dentro do horário de expediente, uma vez que a DGAE dispõe de canais de informação (Centro de Atendimento Telefónico – CAT e Loja DGAE), aptos a prestar os devidos esclarecimentos.
Os candidatos devem obrigatoriamente fazer a importação informática (upload) dos documentos, através da plataforma eletrónica, não havendo lugar à remessa por qualquer outra via, designadamente, a via postal.
Link permanente para este artigo: https://www.arlindovsky.net/2012/05/candidatura-e-upload-de-documentos-dce/
Mai 17 2012
Foi publicado ontem a Síntese Estatística do Emprego Público (SIEP).
Este documento apresenta um conjunto de dados e indicadores que incidem em particular sobre o número de trabalhadores (stock), os fluxos de entradas e de saídas, bem como indicadores sobre remunerações e ganhos médios.
Sublinhei os principais dados nos quadros em baixo.
Não consigo entender como existe um aumento de remunerações no grupo dos educadores de infância e professores do ensino básico e secundário entre Outubro de 2011 e Janeiro de 2012, na ordem dos 0,5%, se não houve nenhum aumento salarial e se o número de contratos a termo aumentaram em detrimento dos contratos por tempo indeterminado.
Se alguém me explicar, agradeço.
Link permanente para este artigo: https://www.arlindovsky.net/2012/05/sintese-estatistica-do-emprego-publico/
Mai 17 2012
“A FNE acha esta prova inútil, não traz nada de novo, não traz garantias de qualidade à escolha dos professores que vão entrar na carreira”, lembrou João Dias da Silva, acrescentando que tenciona pedir uma reunião sobre esta matéria ao secretário de Estado do Ensino e da Administração Escolar, João Casanova de Almeida.
A prova está prevista desde o mandato de Maria de Lurdes Rodrigues à frente do Ministério da Educação, bem como a sua regulamentação, mas nunca chegou a ser aplicada. Recebeu sempre uma forte oposição dos sindicatos, que alegam estarem a ser testados professores já formados pelas instituições de ensino superior.
No antigo Estatuto da Carreira Docente haviam sido já incluídas exceções para dispensar professores desta prova, mas o ministro Nuno Crato afirmou, em abril, estar a estudar novamente esta questão para fazer vigorar o exame destinado a escolher “os melhores professores” para o sistema de ensino.
Crato disse então que a prova será realizada este ano civil, com influência no concurso de colocação e admitiu dispensar deste exame os professores com mais tempo de serviço.
Hoje, chegou por e-mail à redação da Lusa um manifesto de docentes contratados que se sentem injustiçados e contestam a prova.
Dizem que desvaloriza a formação dos professores, bem como as instituições formadoras e respetivos professores.
“São dispensados da prova os professores contratados que obtiveram ´BOM´ até 24 de junho de 2010 e os que obtiveram “MUITO BOM” depois de 24 de junho de 2010. Onde está a justiça?”, questionam no texto.
João Dias da Silva explicou à Lusa que estas condições são as que foram inscritas no estatuto antigo e que espera ver alargadas: “Não há outro caminho”.
A FNE está solidária com os professores que se sentem injustiçados e vai pedir uma reunião urgente ao ministério para que a questão seja “solucionada rapidamente”.
Os contratados consideram que o objetivo da prova é “afastar, de forma injusta, definitivamente do sistema de ensino, todos os professores contratados que, até lá, ainda insistam em ser professores”.
A FNE quer que a matéria seja alvo de negociação por se tratar de conteúdo com ECD e estarem em causa milhares de professores que “têm a licenciatura em ensino e a quem está a ser criada uma expetativa mentirosa de virem a entrar no sistema educativo”.
O dirigente da FNE alegou ainda que quem vai entrar em carreira no próximo ano são os professores que andam a ser contratados há 10 anos, 15 ou 20 anos no sistema e que, a haver lugares de quadro, vão ocupar essas vagas.
“Estamos fartos, desgastados e revoltados com toda esta situação”, dizem os contratados no documento a que chamam “Manifesto Contra a Prova de Ingresso na Carreira Docente”.
Link permanente para este artigo: https://www.arlindovsky.net/2012/05/fne-quer-reuniao-urgente-no-ministerio-sobre-prova-de-ingresso/
Mai 17 2012
O dirigente da Federação Nacional de Professores (Fenprof), Mário Nogueira, sublinhou esta quarta-feira que “qualquer alteração ao que está previsto na legislação em vigor sobre a prova de ingresso na carreira docente terá de ser objecto de negociação colectiva”.
“Por essa e por muitas outras razões, o ministério vir agora dizer que serão dispensados de a fazer os professores que têm classificação de ‘muito bom’ ou ‘excelente’ na avaliação é um completo absurdo”, disse ao PÚBLICO.
As reacções de contestação à prova de ingresso voltaram a inundar as redes sociais, depois de ter sido divulgado num blogue a resposta do Ministério da Educação e Ciência (MEC) aos deputados Miguel Tiago e Rita Rato, do grupo parlamentar do PCP.
Naquele documento, o MEC informa que, com base na legislação em vigor desde 2009, estão dispensados da realização da prova os candidatos que, no momento da entrada em vigor do diploma, ou seja, a 24 de Junho de 2010, tivessem obtido na avaliação de desempenho a menção qualitativa não inferior a ‘Bom’. Adianta, depois, que o MEC “irá proceder ao alargamento do universo dos candidatos dispensados” e concretiza que “o novo regime” possibilitará a dispensa de candidatos que, a partir daquela data, tenham obtido na avaliação uma menção qualitativa de ‘Muito Bom’ ou ‘Excelente’.
Em declarações ao PÚBLICO, o dirigente da Fenprof (que, à semelhança da Federação Nacional de Educação – FNE, rejeita a prova de ingresso na carreira), referiu que aquele tipo de alteração “teria sempre de ser objecto de negociação colectiva, nos termos da lei”. Para o classificativo de “absurdo” contribuem, na sua perspectiva, o facto de haver professores que têm a expectativa, baseada na lei, de que o ‘Bom’ é suficiente para a dispensa; e ainda “as alterações feitas por este mesmo ministério que para efeitos da gradação para concurso de colocação de professores eliminou o ‘excelente’ da avaliação, para os contratados, e fez equivaler o ‘bom’ a ‘muito bom’ (contando cada um um valor)”. “Em que é que ficamos?”, comenta.
Também João Dias da Silva, dirigente da FNE, se mostrou preocupado com a questão. Em declarações à Lusa anunciou a intenção de pedir uma reunião urgente ao MEC para saber qual o universo de docentes que tenciona dispensar da prova de ingresso na carreira.
Em resposta ao pedido de esclarecimento feito pelo PÚBLICO, o gabinete de imprensa do Ministério da Educação diz que “o regime que se encontra na fase final de preparação” é “mais favorável do que aquele que está em vigor”. Isto, argumenta, na medida em que o decreto-lei 75/2010, de 23 de Junho não prevê qualquer dispensa de candidatos após aquela data, independentemente da avaliação de desempenho obtida.
Na mesma nota, o MEC reitera aquilo que o ministro afirmou no início de Abril, ou seja, que a prova – que está em fase regulamentação, tanto no que respeita às componentes como aos moldes da sua aplicação – será feita pelos candidatos até ao fim deste ano civil e terá efeitos para o concurso de 2013/2014.
Em declarações públicas sobre este assunto, Nuno Crato já disse que a prova não teria de ser feita pelos docentes do quadro e admitiu a possibilidade de dispensar “professores com um determinado tempo de serviço”. Justificou a atenção dada à formação inicial, à avaliação e à selecção de professores, dizendo que considera estes profissionais “a peça essencial que garante a qualidade do ensino”. “Queremos que os professores que vão ensinar sejam aqueles mais bem preparados”, disse.
Link permanente para este artigo: https://www.arlindovsky.net/2012/05/a-prova-de-ingresso-na-comunicacao-social/